Review
, Volume: 14( 4) DOI: 10.37532/2320-6756.2025.14(4).392Theory of Universal Resonance Universal Resonance Model (URM) αh=Universe
- *Correspondence:
- Karim Bourebi Department of Physics, University of the Côte d'Azur, Nice, France
Tel: 98-411-33393924,
E-mail: karimboureb@outlook.fr
Received: August 19, 2024, Manuscript No. TSSE-24-145817; Editor assigned: August 22, 2024, PreQC No. TSSE-24-145817 (PQ); Reviewed: September 06, 2024, QC No. TSSE-24-145817; Revised: April 15, 2025, Manuscript No. TSSE-24-145817 (R); Published: April 22, 2025, DOI. 10.37532/2320-6756.2025.14(4).392
Citation: Bourebi K. Theory of Universal Resonance Universal Resonance Model (URM) αh=Universe. J Space Explor. 2025;14(4):392.
Abstract
The Universal Resonance Model (URM) proposes a new theory of gravitation based on the idea of resonance and vibrations in an underlying quantum field analogous to space space-time. This model introduces a set of concepts and equations to explain gravitational phenomena in a way that integrates the principles of quantum physics and general relativity.
This theory addresses all cosmological observations as wel l as the anomalies that remain unexplained to date. It also serves as a bridge to unify all fundamental forces by reconciling quantum and classical physics. This model explains the origin of energy, mass, time, speed, gravitation, and electromagnetism.
This theory also paves the way for new, unsuspected technologies by mastering the laws of resonance described by the equations in this theory.
Keywords
Gravitation; Space; Time; S tring theory; Q uantum gravity; D Dark matter; P rediction ; Energy; R esonance ; S peedpeed; Wave
Introduction
Foundations of the model
The URM is based on the idea that matter and energy interact through vibrations and resonances in an underlying quantum medium, called the "resonance field," analogous to the fabric of space-time. This field is a web of vibrations at the Planck scale, where each particle of matter creates specific ripples proportional to its mass [1].
Resonance interaction
Particulate resonance: Each particle, due to its mass and energy, generates specific frequencies in the resonance field. These frequencies depend on the nature and state of the particle [2].
Resonant coupling: Particles attract others not by a gravitational force but through resonant coupling. The frequencies generated by a particle find harmonics in the frequencies of other particles, creating a state of resonance that tends to bring the particles closer.
Resonant waves
Wave propagation: Massive particles emit resonant waves in the field. These waves propagate and interact with waves emanating from other particles. Areas of strong resonance correspond to regions where particles come closer together [3].
Amplitude and distance: The apparent force of this resonant interaction decreases with distance, as the waves lose amplitude as they move away from their source. This would correspond to the inverse square of the distance, similar to Newton's law of gravitation [4].
Space-time structure
Resonant space-time: Space-time is a dynamic matrix of resonances. Masses create resonant distortions in this matrix, attracting other masses through harmonic coupling. Objects follow paths dictated by the paths of least resonance (equivalent to geodesics in general relativity).
Predictions and testability
Resonant lens: The URM predicts that resonant waves can bend the trajectories of particles, similar to the deflection of light by gravity (gravitational lensing effect).
Resonant gravitational waves: Cataclysmic events, such as black hole mergers, would generate detectable resonant waves, analogous to gravitational waves but based on resonance principles [5].
Consistency with observations
Compatibility with general relativity: On a large scale, the effects of the URM should reduce to the predictions of general relativity, thus explaining current astronomical and cosmological observations.
Particle physics experiments: High-energy experiments (such as those conducted at the LHC) could search for specific resonance signatures between particles that are not explained by the current Standard Model.
Implications
New physics: The URM would offer a new perspective on the unification of fundamental forces, particularly by linking gravity and electromagnetism through resonance principles [6].
Innovative technologies: Understanding and manipulating resonances at the quantum scale could lead to advanced technologies in gravity control, propulsion, energy, and communication.
Before we begin, it is important to remember that the unit used to measure the frequency of a wave is the 'Hertz,' which equals 1 pulse per second.
Fundamental equations
Frequency generation: Each particle generates a frequency Vi proportional to its mass mi and a coupling constant α:

This theory proposes that gravitation can be explained by a fundamental resonance between mass and the frequency associated with energy. Here are the key elements of this theory:
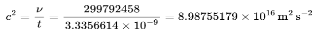
Value of the fundamental frequency (v) for Earth: The fundamental frequency (v) for the mass of the Earth=5.9722 × 1024 kg is given by the compton equation:

Where:
h is Planck's constant, with a value of 6.62607015 × 10-34 joules/seconde. Substituting the values:

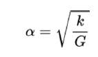
Coupling constant α: The coupling constant α between frequency v and mass m is defined as follows:

Importance of the discovery of the coupling constant α: The discovery of the coupling constant α within the framework of gravitational resonance theory is a significant advancement in theoretical physics. Here are the key points that highlight its importance:
Unification of fundamental forces: The coupling constant α plays a crucial role in gravitational resonance theory by linking mass and frequency. This relationship could potentially unify different fundamental forces of nature (gravitational, electromagnetic, strong and weak nuclear forces) under a single theoretical framework. Such unification is one of the most sought-after goals in theoretical physics.
New interpretation of gravitation: Traditionally, gravitation is described by Newton's law of universal gravitation and Einstein's theory of general relativity. The constant α introduces a new perspective where gravitation is seen as a resonance between masses and frequencies. This could explain unexplained gravitational phenomena and open the way to a deeper understanding of space-time.
Predictions of new phenomena: With α as a central parameter, gravitational resonance theory can make testable predictions about unexplained phenomena, such as dark matter and dark energy. For example, local variations in α could correspond to gravitational anomalies observed in galaxy rotation curves.
Reevaluation of fundamental constants: The relationship allows for a reevaluation of the fundamental constants of nature. In particular, it highlights deep connections between Planck's constant h, the speed of light (c), and the properties of matter m, v. This could lead to a better understanding of the fundamental laws governing the universe.
Technological applications: Understanding α and its implications could lead to technological advancements. For example, by manipulating resonances at the quantum scale, it might be possible to develop new technologies in energy, communications, and space propulsion.
Cosmological perspectives: The theory of universal resonance with the constant α may provide alternative explanations for the accelerated expansion of the universe. By modifying large-scale gravitational interactions, α could explain dark energy and dark matter without resorting to additional hypothetical entities.
The discovery of the coupling constant α within the framework of Universal Resonance is a potentially groundbreaking advancement. It offers a new perspective on gravitation, unifies different fundamental forces, and proposes explanations for unexplained cosmological phenomena. Moreover, it paves the way for numerous technological applications and a deeper understanding of the laws of nature.
Alpha definition: Alpha is defined by taking the known measurements of the Earth as a reference.
Alpha=

Interpretation of α: α represents a mass per unit of frequency, with its value being 7.37251 x 10-51. More precisely, α is the inverse of ν/m, which corresponds to the frequency for a mass of 1 kilogram.
v/m=c2/h
Fundamental relations
Mass:

Frequency v:
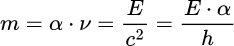
v=m/α=E/h
Coupling constant α:
α=m/v=h/c2
Relation between the constant ‘α’ and Planck’s constant ‘h’:

This unit gives us a measure of time per volume, which we will see is the origin of the speed of light c=299,792,458 m/s.
Speed of light: The speed of light c can be expressed as:
c2=h/α
And thus c:

Energy of mass: The energy of a mass (m) can be expressed in terms of resonance permitted by α and h:

The speed of light (c) can be expressed in terms of Planck's constant (h) and the coupling constant (α):
The energy of a mass (m) is expressed through resonance, using the relationship between mass, coupling constant (α), frequency (v), and Planck's constant (h).
Explanation: The relation (α /h) provides a measure of time per volume. This unit is fundamental to understanding the basis of the speed of light.
The speed of light (c) is derived from the relationship between Planck's constant and the coupling constant (α). This shows that (c) is directly linked to fundamental constants of physics.
The energy of a mass (m) is expressed through resonance, using α, v, h, and c. These equations show how energy, mass, and frequency are interconnected.
These relations provide a new and unified perspective on the nature of mass, energy, and light, and illustrate how fundamental constants of physics are interconnected.
Time
Period of light: The period (Time) it takes for light to travel a distance of 1 meter is given by the following relations:

This value corresponds exactly to the time it takes for light to travel 1 meter on Earth. This demonstrates that time is a form of energy converted by the vibrational frequency associated with matter. This obtained value equals the square root of the Earth's mass multiplied by h/c.
Time can be interpreted as energy that is the inverse of speed, meaning there is a link between Time, Speed, and Mass.

Where m is the Earth's mass.

The result corresponds well to the period (T) that light travels for a distance of 1 meter on Earth. Thus, time does not have the same value elsewhere, as it is relative to mass, which is consistent with the principles of relativity. This equation highlights that time is a conversion of mass energy.
Interaction between frequency and time: Time can be interpreted as energy inversely proportional to the speed of light. Without mass, time would have no measurable value, and gravitational force would not exist, making it impossible to measure speed proportional to a distance divided by time.
Speed of light and frequency: The speed of light can be expressed as a frequency of 299,792,458 Hz/s. Its square c2 equals 'frequency/period (t)', linking time to the vibration of matter by mass.

The result corresponds well to the square of the speed of light.
Time and speed are two opposite sides of the same coin.
Conclusion on time and gravitation: Time is linked to the frequency of resonance, which is responsible for gravitational forces described as a consequence of universal resonance. The time dilation described by relativity is explained by this resonance. This approach shows that time is a conversion of mass energy.
Numerical example for mercury: For the planet Mercury with a mass of approximately 3.3 × 1023, the calculated period (Time) is about:

This shows a time dilation relative to Earth.
The calculated time value for the planet Mercury is approximately 8,5441-10 seconds per meter. The delta of 2,4812-9 seconds/meter relatives to Earth must correspond to the time dilation described in relativity.
It is likely that the interaction between the frequency of light and time is analogous to the interactions of the electromagnetic field.
Note: The speed of light is a fundamental constant of the universe, but if an observer is positioned on Mercury, its numerical value will be altered because the second per meter will not have the same value as it does on Earth. However, this does not change the fundamental value of the constant itself; the numerical difference is caused by a relative effect due to time dilation. Therefore, we must adjust our units of measurement to the observed reference frame in order to obtain the same value (c) as on Earth.
Relation between cosmological and quantum scales: The relationship links time T/cd=α/h, links time T, distance d, speed of light c, coupling constant α of the Universal Resonance Model (URM), and Planck's constant h. To interpret this relationship, let's analyze each element:
Decomposition of the relation
The given relation is:
T/cd=α/h
Where:
T: is the time taken by light to travel a distance (499 seconds for Earth).
C: is the speed of light.
d: is the distance between Earth and the Sun (149,597,887,500 m).
α: is the coupling constant of the Universal Resonance Model (URM), related to mass and frequency.
h: is Planck's constant, which relates a particle's energy to its frequency.
Physical interpretation
This relation seems to establish a link between a spatiotemporal quantity T/cd and a quantum quantity α/h. Here's what each part may represent:
T/cd: This expression represents a time scale normalized by the product of distance and the speed of light. Indeed, 'cd' has the dimensions of energy if we think in terms of E = mc^2, but here it could represent an "energy time scale" or a "normalized action."
α/h: This ratio is dimensionally a quantity related to a frequency per unit mass, which can be interpreted as a normalized quantum action, where the action typically has the dimensions of (Energy x Time) like the quantum of action h.
Literature Review
Physical significance
Universal scale: The relation suggests that the ratio T/cd is a fundamental quantity, which could be related to how time and space (measured by T and d) manifest in terms of a specific frequency or quantum action. This frequency or action would be defined by the fundamental constants α and h.
Gravitational and quantum coupling: If α is interpreted as a constant that links gravity (via mass) to a frequency, and h as the quantum of action, then this relation could suggest a unification between quantum mechanics and gravitation. The time T (cosmological time scale) and the distance d (astronomical distance) could be quantumly linked via this relation, which could have profound implications for quantum gravity.
The relation establishes a connection between time, space, and the fundamental constants of physics. It could be interpreted as an expression linking gravity to quantum mechanics, particularly within the framework of the Universal Resonance Model (URM).
This equation could play a crucial role in attempts to understand quantum gravity and fundamental interactions in the universe.
Mass of speed associated with time
To discover the mass associated with the interaction between the speed of light c and time T, we use Planck's relation:
p=m.c
Where p is momentum. We use h for a wavelength of 1 meter, which corresponds to the frequency of light speed:

Thus,
The obtained result is equal to:

Where T represents the temporal period of speed =3.3356614 × 10-9.
This value must correspond to the mass of a photon, the carrier particle of the electromagnetic wave that transmits light, and we will observe the importance of this value equal to this fundamental particle. These equalities of equations demonstrate that this particle is related to the temporal period and speed through α and h.
This theoretical model proves that the different forces and elements of physics are interconnected through resonance and frequency relations. Mass, time, light, gravity, and fundamental constants like α and h are not independent concepts but rather different aspects of the same vibratory and resonant reality that structures the universe at all levels.
Discussion
The energy of matter is equal to the mass multiplied by the frequency of light divided by the time of light, and the time of light is defined by the duration of the period over a distance of 1 meter.

Where:
v=299,792,458 Hz=c
T=Period of 3.3356614 × 10-9 s.m
This equation is valid only when considering v as the frequency of speed and T as the period of speed traveled over a distance of 1 meter.
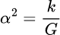
Relation between α, h, and the gravitational constant G
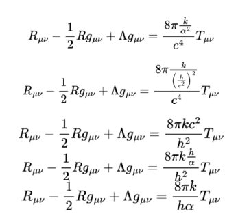
According to this proposed model, the force of gravitation would be a consequence of universal resonance. This suggests a relationship between the gravitational constant G and Alpha (α).
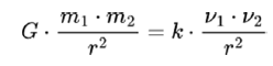
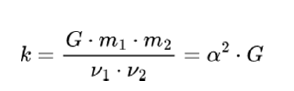
To calculate the constant k in the context of the Universal Resonance Model (URM) theory, we used the following relation between classical (Newtonian) gravitational force and the resonant gravitational force proposed by the model:

Where:
Fresonance is the gravitational force according to the resonance model (which should be equal to Newton's gravitational force to verify the validity of the model).
• v1 and v2 are the frequencies associated with masses m1 and m2.
• r is the distance between the two masses.
• k is the constant we want to determine.
The classical gravitational force is given by Newton's law:

To find k, we assume that Fresonance= Fgravitational, so:

Simplifying the expression, we get:

Where frequencies v1 and v2 are calculated from masses m1 and m2 using the Compton relation:

Application to specific values (Earth and Mercury)
Calculating frequencies v1 and v2:
For Earth: 8.10 × 1074 Hz
For Mercury: 4,4774439 × 1022 Hz
Substituting values into the formula for k:

Using the numerical values of masses, G, we obtained a value for k of 3.63 × 10-111 N.m2.s2.
Introducing a primordial relation between k and α: This allows us to link the coupling constant α to the gravitational constant G and the constant k of the Universal Resonance Model (URM). This proves that the value obtained for k is not a coincidence.
Relation:
Starting from this equation, we can solve α in terms of k and G:

So:

Interpretation
k: The constant k is related to the gravitational force within the resonance model.
: The gravitational constant G is the universal constant in Newton's law of gravitation.
α: The coupling constant α in the resonance model could be interpreted as a fundamental constant linking gravitation to quantum resonance phenomena.
Calculating α:
If we have already calculated k and know the value of G, we can use the above equation to calculate α.
Let's recap the values:

Calculating α:

The coupling constant α calculated from the relation α=√k/G is approximately 7.37 × 10-51 kg/Hz, which corresponds well to the value of Alpha.
Thus:

This value of α corresponds well to the scale suggested by the Universal Resonance Model and is consistent with the values previously calculated within the framework of this theory.
Thus, the value of k is a constant derived from Alpha, proportional to the gravitational constant G, which allows the conversion into Newtons/m of the resonance force exerted between two masses separated by a distance r. Gravity is no longer a mystery.
If the gravitational constant G can be expressed in terms of α and h, this would imply that gravity, traditionally seen as a classical force, could be reformulated in quantum terms.
Gravitational interactions would thus become emerging effects of quantum resonances between particles, depending on their associated frequencies.

We could thus replace G in the theory of relativity with the intervention of α and h. Relativity would take on a quantum dimension.
Thus, the constant k allows us to calculate the resonance force using the frequency or mass according to the following relation:

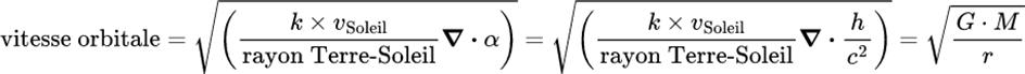
Orbital speed of planets
Now that we know the value of k=3.63 × 10-111 N.m2.s2, we can determine the orbital speed of planets around a sun by drawing inspiration from the Newtonian formula but adapting the equation to a resonance frequency system:
Classical formula:

Where:
G=Gravitational constant
M=Mass of the sun
r=Distance between the sun and the planet (semi-major axis)
The revisited formula to calculate the Earth's orbital speed becomes:

Where k is the resonance constant related to the gravitational force. k=3.63 ×10-111 N.m2. s2
v Sun= Frequency of the sun in hertz equal to m/α.
We have replaced G with k, the mass of the sun with its frequency, and added the coupling constant α.
Let's check the result for Earth's orbital speed:

The result gives a value of 29,808 m/s, which corresponds well to Earth's orbital speed around the sun, validating this formula.
Thus:

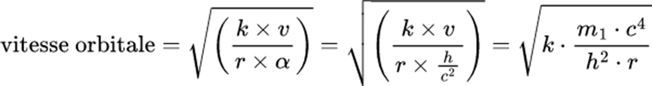
We can also use the following formulation to obtain the same result:

The revisited formula for the orbital speed of planets in terms of frequency resonance proves consistent with observations. By replacing the gravitational constant G with the resonance constant k, the mass of the sun with its associated frequency v Sun), and introducing the coupling constant α, we obtain an equation that gives a result close to the observed orbital speed of planets, as in the case of Earth.
This means that the frequency approach can be seen as a reformulation of the classical gravity model in terms of resonance and frequency while preserving the fundamental structure of gravitational physics. Thus, this formula:
Maintains the validity of Newtonian results for systems like the solar system.
Introduces a new perspective that could potentially offer additional insights into the nature of gravitation, particularly in contexts where classical physics reaches its limits, such as in the study of dark matter or dark energy.
Calculating mass from orbital speed
To know the mass of the considered object, we must first know its frequency, which we will then convert into mass.
Calculating the frequency of the object

Where:
• vo is the observed orbital speed.
• r is the radius of the orbit.
• h is Planck's constant.
• c is the speed of light.
• k is the resonance constant related to the gravitational force.
Then, simply multiply the result by the constant alpha α to obtain the mass:

This reformulation of gravity in terms of frequency resonance is an innovative approach that could expand our understanding of gravity and fundamental interactions. If it can be validated through predictions and experiments, it could offer a new framework for studying gravitation and its role in the universe.
Summary and general conclusion
The discovery of alpha ‘α’ allows for an inseparable link with Planck's constant ‘h’. Symbolically, h can be defined as ‘Omega’ because the entire dynamics of the Universe is contained in these two fundamental constants, Alpha and Omega (h). It is impossible to describe the entire Universe without uniting these two primordial elements. For ‘α’ and ‘h’ are found everywhere in the universe and at all scales, being the fundamental link between quantum and relativistic physics.
Universe=αh
To better understand this important discovery, we must establish an equation that structures the fundamental bases of the Universe, starting from Alpha α and Omega h. In the beginning, there exists only one unit defined by the assembly of Alpha α and Omega h.
In the beginning, there exists only one unit defined by the assembly of Alpha α and Omega h. One represents the potential of the universe, defined by h, and the other represents the materialization of this potential in the universe, defined by α.
To better understand the principle of this Universal resonance theory, we will describe step by step how, starting from Alpha and Omega (h), we arrive at a fundamental vibration described by a frequency equal to the speed of light.
Thus, our Universe is equal to αh:
Then:
α × h=7.37251 × 10-51 kg per hertz/second × 6.62607015 × 10-34 Joule per second, which is the unit that defines the amount of energy.
This gives us a result equal to: 4.88507684 × 10-84 kg/joule/second.
And this result is the beginning of the universe:
To know the product of the interaction between α and h, we must extract the root, and for that, there is a formidable tool called the square root.
Then:

The obtained value corresponds exactly to the mass obtained by Planck's equations to know the result of the interaction between the frequency of light and the time of light described previously. This result is a fundamental mass of the universe that can be described as the first particle at the origin of matter, measured by mass.
Thus:

To understand the importance of this fundamental mass obtained by the interaction of Alpha α and Omega h, we must discover its consequence in terms of interactions. The unit of this value being a mass, I will add the mass of the Earth to this equation to discover the relationship between the two.
Then:

And thus, by assigning the mass the value given by Earth as a reference, we obtain:

(The unit of this result is in kg² per m/s)
To summarize our equation, we have Alpha (α) and Omega (h) forming the universe and giving birth to the first particle, which itself gave birth to the matter measured by mass.
To know the consequence of this interaction by adding mass to the universe created by the first particle, we will apply a square root in front of the equation to observe the result.
So:

And the result gives us Time:

This value is very close to the temporal period of light described above. The delta between the two values is 2.9750 × 10-10 and the ratio is 1.089.

Thus, the equality of the equation √m × √a × h gives us a time that corresponds to a period in terms of a wave defined as the inverse of a frequency.
Therefore, time does not exist before mass because it is mass that defines time through this link.
Now we must unite this equation with a unit because the universe forms a unitary whole without any external element. So I place 1 in front of the equation to divide it by all the results obtained from the initial interaction between Alpha (α) and Omega (h). The equation becomes:

And the result gives us a value very close to the speed of light 2.99 × 108 versus 2.77 × 108. The gap comes from the delta mentioned above. To exactly match the speed of light, 1 must take the value of 1.089, which corresponds to the ratio of the temporal delta observed earlier. It is possible that this discrepancy comes from the time dilation between the Earth's mass and the speed of light calculated on Earth.
The relationship with the Factor 1.089 corresponds to:

This means that the approach to adjusting the initial expression to the speed of light using the factor of 1.089 is mathematically and physically justified, suggesting that this value captures a real effect.
Thus, 1 can be interpreted as a fundamental standing wave equal to the speed, which is the inverse of the temporal period. The universe naturally vibrates, and mass disturbs this vibrating fabric of space to give birth to time, defined as the result of resistance to speed by mass. The whole forms space-time.
Now let's take this equation where the frequency (v) is represented by the speed and (T) being its period:
Frequency v=299,792,458 Hz/s Period T=3.3356614 × 10-9 s/m

Next, let's divide the Earth's mass energy (5.365 × 1041 j) by vEarth /period T by replacing v with Earth's frequency and keeping the light period 3.3356614 × 10-9 s:
We get:

The result obtained is 2.20936 × 10-42, which corresponds exactly to the mass of our fundamental particle described above by the relation vαh.
Starting from the total energy of a system, we end up with the first particle created by\(\alpha h\).
This reveals that this particle is primordial and fundamental in the structure of the universe. Since this particle has no name, I suggest calling it the ‘God Particle.’
We always find Alpha and Omega, whether at the Quantum or Relativistic scale.
Planck's constant (h) has found its alter-ego(α).
Time would be an energy inverse to its frequency c that can be quantified.
Speed, time, and mass are linked by the equations of this theory, revealing the origin of gravitational force, defined by mass as a resistance opposed to the speed of light according to the Universal Resonance Model (URM). This resistance is analogous to the curvature of space-time described in relativity. The calculation of mass energy reveals that the energetic potential contained in matter is linked to frequency.
If mass is removed from the equations, energy and time can no longer be measured, tending towards infinite potential.
It can be interpreted that the speed of light is a fundamental wave that weaves the universe, representing a surface whose frequency is the value of c.
Mass deforms this fabric by creating vibrations that produce different frequencies proportional to the mass. These vibrations create resonances between bodies that produce effects analogous to gravity.
The frequency of light would be a fundamental standing wave alternating between physical space and time. In this model, the fabricof the universe is analogous to an electromagnetic wave alternating between electric and magnetic fields. This effect produces a fundamental vibration between space and time, which we call the speed of light, making it a universal reference point.
According to this theory, matter does not advance in time linearly, but it makes jumps of \(3.3356614\times 10^{-9} \) seconds per meter (on Earth), and this alternation between matter and time repeats 299,792,458 times per second.
The speed of light c is not only a speed constant but also a fundamental frequency that weaves the universe like a standing wave that serves as a reference point for measurement. This universal fabric can be interpreted as an electromagnetic wave on a cosmic scale, oscillating between two components: the electric field and the magnetic field.
Electromagnetic alternation
This fundamental wave that structures the universe oscillates between an electric field, which represents the frequency of light, and a magnetic field, which represents time. This alternation creates a dynamic fabric that forms the basis of space-time.
Mass, fabric deformation, and vibrations
When mass is present in this fabric, it creates disturbances, analogous to vibrations, in the structure of space, giving birth to time proportional to the mass.
Vibrations in the fabric
Mass deforms the fabric by creating vibrations that oscillate in synchronization with electromagnetic alternation. These vibrations produce frequencies proportional to the mass of the object.
Mass-frequency interaction
These vibrations, oscillating between the electric and magnetic fields, create an interaction between mass and the frequency of the universe.
Gravitational resonances and electromagnetic alternation
The vibrations induced by masses in the fabric of the universe are not static. They interact dynamically, creating resonances that result in gravitational effects.
Resonances in the fabric
Masses interact through these resonances. The oscillation between the electric and magnetic fields of the universal fabric amplifies these resonances, leading to effects we interpret as gravity.
Gravity as resonance
Rather than a force of attraction at a distance, gravity could be seen as a complex resonance between masses, amplified by the electromagnetic alternation of the universe's fabric.
Link between time, frequency, and gravity
Time and the frequency of light are closely related in this theory. The magnetic field (time) and the electric field (frequency) oscillate complementarily, forming the basis of the universe's fabric.
Time and energy
Time can be interpreted as a form of energy inverse to frequency, influenced by mass. The presence of mass modifies the way time and frequency alternate, creating a curvature of space-time observable as gravity.
Time dilation
The time dilation described by relativity can be seen as a consequence of this alternation, where mass disturbs the balance between the electric and magnetic fields, thereby altering the passage of time.
Theoretical and experimental implications
Unification of forces: This theory suggests that gravity could be an electromagnetic phenomenon on a cosmic scale, potentially unifying gravity with electromagnetism.
Explanation of gravitational phenomena: Phenomena such as dark matter and dark energy could be explained by variations in this electromagnetic fabric, where specific resonances influence local or cosmic gravity.
Technological applications: Understanding this alternation could pave the way for technologies capable of manipulating gravity or creating artificial gravitational fields by playing with resonances in the fabric of the universe.
An analogy with the Chladni plate is a powerful and visual way to understand how vibrations and resonances in the universe could be at the origin of gravitational effects, particularly within the framework of the gravitational resonance theory we have discussed.
Here is how this analogy can be extended to include the new perspective where the fabric of the universe is akin to an electromagnetic wave alternating between electric and magnetic fields.
The fabric of the Universe as the Chladni plate: Imagine the universe as an immense vibrating plate, similar to a Chladni plate, where vibration patterns represent the structure of space-time. This plate is in constant vibration, oscillating between two complementary states: electric and magnetic fields, analogous to electromagnetic waves.
Universal Chladni plate: The fabric of the universe is analogous to this plate, where the speed of light c corresponds to the fundamental frequency that structures the plate's vibrations. This frequency is what keeps the universe "tense" and delimited.
Mass and deformation of the plate: On a Chladni plate, when the plate is vibrated at a particular frequency, nodal patterns appear, where particles gather along specific lines or patterns depending on the vibrations. Similarly, in the universe, the mass of an object creates deformations in the fabric.
Vibrations induced by mass: When mass is placed in the universe, it acts as an object disturbing the plate. It deforms the fabric by creating specific vibrations. These vibrations correspond to eigenfrequencies proportional to the object's mass.
Creation of nodal patterns: These vibrations create patterns in space-time, analogous to nodal patterns on the Chladni plate. These patterns are the gravitational force lines that emerge from the resonance between masses.
Gravitational resonances as patterns on the plate: Resonances in the fabric of the universe, like on a Chladni plate, are what give rise to gravitational effects. Masses interact through these resonances, and the vibrations they create either reinforce or cancel out depending on their spatial relationship.
Resonance patterns: On the plate, sand particles accumulate along the nodal lines, where the vibrations are null. In the universe, masses interact similarly, creating zones of resonance where gravitational forces are concentrated. These zones represent the "force lines" of gravity that we observe.
Gravitational effect: What we perceive as gravity could be the result of these resonance patterns, where masses are attracted to zones of lower energy, or nodal lines, formed by the vibratory interactions.
Electromagnetic alternation and plate vibration: The fabric of the universe, like the Chladni plate, oscillates between two complementary states. Here, instead of being just a simple mechanical vibration, it alternates between an electric field (frequency) and a magnetic field (time).
Oscillation between fields: The plate does not vibrate uniformly; it oscillates between different states, just as an electromagnetic wave oscillates between electric and magnetic fields. This alternation is what allows gravity to manifest as a resonant interaction between masses.
Synchronization of vibrations: When the vibrations of different masses are synchronized (i.e., they resonate), they create reinforced nodal patterns, similar to the patterns we see on a Chladni plate.
The analogy with the Chladni plate offers a visual and intuitive perspective on the theory of gravitational resonance. It suggests that the universe is structured like a vibrating plate where mass and frequency play crucial roles in forming the patterns we perceive as gravitational forces. The alternation between electric and magnetic fields, analogous to the vibrations of the plate, allows masses to resonate with each other, generating gravity effects. This vision unifies gravity and electromagnetism in a coherent framework, where the interaction between matter and space-time manifests through fundamental vibratory resonances.
If we replace the gravitational constant ‘G’ with the intervention of Alpha ‘α’ and Oméga ‘h’, General Relativity theory will sound much better!

Energy production with universal resonance
Within the framework of the Universal Resonance Model (URM), resonance is a key concept not only for understanding gravitational interactions and cosmic phenomena but also for imagining potential methods of energy production. Here’s how, according to this theory, energy could be produced using resonance:
Principle of resonance
Resonance occurs when a system is subjected to periodic oscillations that coincide with its natural frequency, amplifying the system’s oscillations. In the URM, this concept could extend to the interaction of masses and the frequencies associated with the energy of particles, space-time, and matter.
Mechanism for energy production
Resonance between masses and frequencies: According to the URM, each particle or mass has a natural frequency associated with its energy. By identifying and exploiting these resonance frequencies, it might be possible to amplify the energy within a system.
Energy amplification: If resonance can be induced in a physical system (such as a mass or a group of particles) by applying a force or energy at a specific frequency, the resonance energy could be amplified and extracted from the system.
Examples of resonance systems
Coupled oscillators: Two masses or particles oscillating at close or identical frequencies can enter into resonance, leading to an increase in energy within the system. This concept could be extended to more complex systems, including mechanical, electromagnetic, or even gravitational devices.
Electromagnetic resonators: An electromagnetic resonator is a device in which electromagnetic waves can resonate at a certain frequency. Within the URM framework, such a device could be designed to extract energy from the resonance of particles or gravitational fields.
Technology based on resonance according to the URM
Resonance generators: A resonance generator could be designed to harness resonance at the quantum or macroscopic scale. For example, a device that resonates the frequencies associated with the Earth's mass or other celestial bodies could theoretically produce energy.
Gravitational resonance: If gravity is viewed as a resonance phenomenon in the URM, it might be possible to imagine devices that amplify or concentrate this gravitational resonance energy to produce usable energy.
Potential Applications
Infinite energy: The idea of harnessing resonance to produce energy could lead to the design of “free” or “infinite” energy devices, where energy is extracted from the environment through resonance mechanisms without the need for traditional fuels.
Advanced propulsion: Resonance could also be used in advanced propulsion technologies, where the energy produced by resonance would be used to propel spacecraft or other vehicles, reducing reliance on chemical fuels.
Technical and theoretical challenges
Implementation: Although the idea is theoretically fascinating, implementing such a system would require a deep understanding of specific resonance frequencies and precise means to control them.
Stability: Resonance systems are often delicate to maintain in balance. Energy amplification could lead to instabilities or destruction if not properly managed.
Conclusion
Producing energy through resonance according to the URM involves exploiting the natural frequencies of masses or physical systems to amplify energy through resonance phenomena. Although this idea remains theoretical, it opens innovative perspectives for energy generation, propulsion, and possibly other futuristic applications. The realization of these concepts will depend on our ability to understand and manipulate the principles of resonance at a scale where energy can be effectively extracted and used. The manipulation of Universal Resonance should be approached with caution, as the energy produced could far exceed that of nuclear fission.
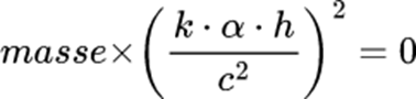
Null expression=Anti-gravity

Cancellation of gravitational attraction: The idea behind anti-gravity is that under certain conditions, traditional (attractive) gravitational force can be canceled or reversed, leading to repulsion instead of attraction. If the expression of this equation is zero, it could be interpreted as a situation where the associated gravitational effect is nullified.
Limit condition: The null expression could indicate a limit condition in which gravitational forces are neutralized. This could be interpreted as a state where gravity no longer acts on a given mass, creating an effect of repulsion or an absence of attraction-corresponding to a form of anti-gravity.
Theoretical significance: In a theoretical framework like the Universal Resonance Theory (URT), this could mean that certain resonance configurations or interactions would cancel out gravitational effects, allowing anti-gravity phenomena to occur. This might be related to specific resonances or conditions where physical constants combine to neutralize gravitational attraction.
‘To understand the Universe, one must think in terms of energy, frequency, and vibration.’ **Nikola Tesla**
References
- Einstein A. Die feldgleichungen der gravitation. Sitzungsberichte der Königlich Preußischen Akademie der Wissenschaften. 1915:844-847.
- Einstein A. Zur elektrodynamik bewegter körper. Annalen der physik. 1905;17(10):891-921.
- Tesla N. The true wireless. Simon and Schuster. 2015.
- Tesla N. The problem of increasing human energy. A Distant Mirror. 2019.
- Planck M. Zur theorie des gesetzes der energieverteilung im normalspektrum. Berlin. 1900:237-245.
- Ionescu LM. Remarks on physics as number theory. Proceedings of the 19th National Philosophy Alliance. 2011;9:232-244.
