Research
, Volume: 13( 2) DOI: 10.37532/2320-6756.2025.13(1).403Unification of Gravitation and Electromagnetic Force (First Portion)
Zheng Shengming*
Department of Particle Physics, Beijing Jiaotong University, Beijing, China
- *Correspondence:
- Zheng Shengming
Department of Particle Physics, Beijing Jiaotong University, Beijing, China
E-mail: chqscg@yandex.com
Received: April 22, 2024, Manuscript No. TSPA-24-132775; Editor assigned: April 24, 2024, PreQC No. TSPA-24-132775 (PQ); Reviewed: May 10, 2024, QC No. TSPA-24-132775; Revised: March 07, 2025, Manuscript No. TSPA-24-132775 (R); Published: March 14, 2025, DOI. 10.37532/2320-6756.2025.13(2).406.
Citation: Shengming Z. Unification of Gravitation and Electromagnetic Force (First Portion). J Phys Astron. 2025; 13(2). 406.
Abstract
Since the discovery of an electron, people have thought that it possesses one electric charge and that the nucleus possesses a contrary charge. Based on the new discovery that moving photons do create force, I have calculated the number Z of elements and discovered that the number Z of elements can be calculated by the frequency of X-rays and the atomic weight can also be calculated by the frequency of X-rays. This method of calculation shows the essence of the electric charge and the essence of the gravitational mass; here, for the first time, this study provides the unification of gravitation and electromagnetic force. Further based on the new discovery that moving photons create force and a formula for describing this new discovery, applying this discovery from the micro world to the macro world shows that from the atomic world to the galaxy world, nature has been working to obey this law and its actions can all be described by this formula. Coulomb’s law and the Newtonian University’s law of gravitation are only approximate calculation formulas for specific conditions.
Keywords
Frequency of X-ray; Force; Gravitation electromagnetic force unification
Introduction
Since Newton discovered universal gravitation [1], people have thought that the origin of gravitation only relates to the gravitational mass and have defined gravitational mass in the expression of gravitation without investigating other origin theories. During the process of investigating the origin of gravitation, my experiments showed that moving photons produce gravitation. This discovery reveals the origin of gravitation. Moreover, I found that the atomic weight can be calculated by the frequency of the X-ray [2]. On the other hand, I have also found that the number Z of elements can also be calculated by the frequency of the X-ray. These experiments and calculations show that the electromagnetic force and gravitation are generated from the same origin. Their essence is the same. Therefore, we can comprehend the meaning of the gravitational mass, which was defined by Newton and Einstein and the meaning of charge, which was defined by Coulomb and Franklin. This shows the unification of gravitation and electromagnetic force.
Force generated by moving photons
The experimental devices are indicated in pictures a, b, and c of Figure 1. The process of the experiment is as follows: First, the light beam L is separated into 2 parts by a ring, as shown in pictures c and d of Figure 1.
Light beam L then becomes two new light beams P and O, as shown in picture d of Figure 1. Along with light moving forward, the five light beams possessing the highest intensity in light beam P with the greatest attractive force obviously attracted light beam O to become a pentagon (Figure 1). Only the five points of light beam O, which correspond to the five points of light beams that possess the highest intensity in light beam P, are in contact with each other and gradually link to each other. Note: At first, light beam P and light beam O do not contact at all. It is impossible for this contact to occur in the light wave theory. This action is not an effect of wave interaction. In contrast, this indicates that moving photons create gravitation (Figure 1).
FIG. 1. Picture b shows the device used in the experiment. Images c and d show the site of the ring in light beam O and images 1-12 show that the form of light beam O changes from a circular shape to a pentagon because moving photons cause gravitation.
To verify that this phenomenon is caused by gravitation, a second experiment was performed. The experimental device is shown in picture an of Figure 2. Images b and c in Figure 2 show that the other light beams do not move forward and that only light beam O is allowed to move forward; under these conditions, light beam O maintains its circular shape. This phenomenon is shown in Figures 1-12 of Figure 2. This result demonstrated that if there was no other light beam, the light beam O would not accept the foregone gravitation.
FIG. 2. This experiment shows that light beam O does not change its circular shape when there are no other light beams moving forward.
In comparison with experiment 1, it appears that light beam O maintains its circular shape in unchanged form when there are no other light beams moving forward. According to the results of this experiment, light beam O does not appear before the phenomenon of gravitation. This phenomenon is confirmed only by the interaction force, indicating that gravitation occurs; thus, we find that moving photons cause gravitation.
Validation of the force generated by moving photons
According to previous studies gravitation origin [1], unification of gravitation and electromagnetic force [2], moving photons generate force. According to this validated discovery, there is an interaction force between two light beams. Specifically, the distribution of light beams in space gives rise to a force field; thus, a change in the force field will change the distribution of light beams in space; on the other hand, a change in the distribution of light beams will change the force field in space. This inference can be further tested to validate the new discovery; for this purpose, I perform the following experiment. Figure 1(a) shows a light source. When all the light beams move forward, the form of the central light beam changes with the form when only the central light beam moves forward. When only the center light beam moves forward, the intensity of the center light beam increases more than that when it moves with the other light beams, which occurs when the other light beams do not move forward; thus, more light beams are attracted to the center. This experiment validated the above findings (Figure 3).
FIG. 3. Image a is a light source. When all light beams move forward, the form of the central light beam changes with the form when only the central light beam moves forward.
If so, the center light beam increases intensely, which indicates that when other light beams do not move forward, more light rays are attracted to the center (Figure 3). This experiment tests the validity of the above discovery that moving photons generate force. From the above experiments, we can obtain a law of nature in which a moving photon creates force.
The quantitative experiment
In a previous article, The origin of gravitation [2], we obtained formula:

The origin of gravitation [2] does not repeat this description of this effect.
The mechanism of the chemical reaction
The chemical reactions described in article gravitation origin [1] need not be repeated here.
Application in thermoelectricity
For applications in thermoelectricity, see article gravitation origin [1], here, it does not need to be repeated.
From the above five application examples, we know that the formula
. is the universal law in the micro world
The essence of electric charge
According to the above discoveries and formula:

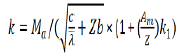
We can obtain a formula that can calculate the nuclear charge of an element; see the following formula:

Where QZ is the nuclear charge of the element, Am is the atomic weight of the element, Z is the atomic number, and λk1, λk2 are the first and second wavelengths of X-ray emission, respectively, in k, λ is the mean wavelength of these two wavelengths of X-ray emission. b, k1, k2 are all constant. The test results for this formula are shown in Tables 1 and 2 [3,4].
| Z | Symbol | Atomic weight (Am) | Am-Z | λk1 × 10-10 | λk2 × 10-10 | d | |
b | k1 | k2 | |
| 3 | Li | 6.941 | 3.9410 | 241.686 | 226,456 | 1.001 | 234192 | 2.72641 × 1015 | 5 × 10-4 | 2.075 × 10-8 | 3.000 |
| 4 | Be | 9.012 | 5.0120 | 114272 | 111.698 | 1.007 | 113379 | 2.72641 × 1015 | 5 × 10-4 | 2.075 × 10-8 | 4.000 |
| 5 | B | 10.811 | 5.8810 | 67.64 | 65.9495 | 1.005 | 66.9638 | 2.72641 × 1015 | 5 × 10-4 | 2.075 × 10-8 | 5.000 |
| 6 | C | 12.001 | 6.0110 | 44.76 | 43.6813 | 1.002 | 44.2654 | 2.72641 × 1015 | 5 × 10-4 | 2.075 × 10-8 | 6.000 |
| 7 | N | 14006 | 7.0060 | 31.5966 | 31.5966 | 1.006 | 31.388 | 2.72641 × 1015 | 5 × 10-4 | 2.075 × 10-8 | 7.000 |
| 8 | 0 | 15999 | 7.9990 | 23.6207 | 23.3186 | 0.996 | 23.4224 | 2.72641 × 1015 | 5 × 10-4 | 2.075 × 10-8 | 8.000 |
| 9 | F | 18,998 | 9.9980 | 182000 | 18.0499 | 1.000 | 18.125 | 2.72641 × 1015 | 5 × 10-4 | 2.075 × 10-8 | 9.000 |
| 10 | Ne | 20,179 | 10.1790 | 14.6105 | 14.3023 | 1.001 | 14.4637 | 2.72641 × 1015 | 5 × 10-4 | 2.075 × 10-8 | 10.00 |
| 11 | Na | 22,989 | 11.989 | 11.9102 | 11.6174 | 1.004 | 11.7876 | 2.72641 × 1015 | 5 × 10-4 | 2.075 × 10-8 | 11.00 |
| 12 | Mg | 24.305 | 12.3050 | 9.807 | 9.807 | 1.000 | 9.807 | 2.72641 × 1015 | 5 × 10-4 | 2.075 × 10-8 | 12.00 |
| 13 | A1 | 26,981 | 13,9810 | 8.27067 | 8.27067 | 1.000 | 8.27067 | 2.72641 × 1015 | 5 × 10-4 | 2.075 × 10-8 | 13.00 |
| 14 | Si | 28.085 | 14,0850 | 7.07677 | 7.07677 | 1001 | 7.0803 | 2.72641 × 1015 | 5 × 10-4 | 2.075 × 10-8 | 14.00 |
| 15 | P | 30,973 | 15.9730 | 6.11663 | 6.11663 | 1.001 | 6.11968 | 2.72641 × 1015 | 5 × 10-4 | 2.075 × 10-8 | 15.00 |
| 16 | S | 32,065 | 16.0650 | 5.35329 | 5.34077 | 1.002 | 5.35038 | 2.72641 × 1015 | 5 × 10-4 | 2.075 × 10-8 | 16.00 |
| 17 | a | 35,453 | 18,4530 | 4.711 | 4.69567 | 1001 | 4.70569 | 2.72641 × 1015 | 5 × 10-4 | 2.075 × 10-8 | 17.00 |
| 18 | Ar | 39,948 | 21.948 | 4.1918 | 4.1918 | 0.993 | 4.16245 | 2.72641 × 1015 | 5 × 10-4 | 2.075 × 10-8 | 18.00 |
| 19 | K | 39098 | 20,098 | 3.7414 | 3.7206 | 1.000 | 3.731 | 2.72641 × 1015 | 5 × 10-4 | 2.075 × 10-8 | 19.00 |
| 20 | Ca | 40.078 | 20,0780 | 3.36166 | 3.34013 | 1003 | 3.35593 | 2.72641 × 1015 | 5 × 10-4 | 2.075 × 10-8 | 20.00 |
| 21 | Sc | 44,956 | 23,9550 | 3.0309 | 3.0309 | 0.997 | 3.02181 | 2.72641 × 1015 | 5 × 10-4 | 2.075 × 10-8 | 21.00 |
| 22 | T1 | 47,867 | 25,8760 | 2.74851 | 2.74851 | 0.997 | 2.74026 | 2.72641 × 1015 | 5 × 10-4 | 2.075 × 10-8 | 22.00 |
| 23 | V | 50.941 | 27,9410 | 2.50856 | 2.50356 | 0.997 | 2.49605 | 2.72641 × 1015 | 5 × 10-4 | 2.075 × 10-8 | 23.00 |
| 24 | Cr | 51,996 | 27,9960 | 2.2897 | 2.2897 | 0.999 | 2.28741 | 2.72641 × 1015 | 5 × 10-4 | 2.075 × 10-8 | 24.00 |
| 25 | Mn | 54,938 | 29.9380 | 2.1018 | 2.1018 | 0.999 | 2.09969 | 2.72641 × 1015 | 5 × 10-4 | 2.075 × 10-8 | 25.00 |
| 26 | Fe | 55.845 | 29.8450 | 1.93998 | 1.93735 | 1,000 | 1.93866 | 2.72641 × 1015 | 5 × 10-4 | 2.075 × 10-8 | 26.00 |
| 27 | Co | 58.933 | 31.9330 | 1.79285 | 1.78896 | 1.000 | 1.79091 | 2.72641 × 1015 | 5 × 10-4 | 2.075 × 10-8 | 27.00 |
| 28 | Ni | 58.693 | 30,6930 | 1.66179 | 1.66179 | 1,001 | 1.66345 | 2.72641 × 1015 | 5 × 10-4 | 2.075 × 10-8 | 28.00 |
| 29 | Cu | 63.546 | 34,5460 | 1.5444 | 1.54056 | 1,001 | 1.54325 | 2.72641 × 1015 | 5 × 10-4 | 2.075 × 10-8 | 29.00 |
| 30 | Zn | 65,409 | 35,4090 | 1.439 | 1.43515 | 1.002 | 1.43851 | 2.72641 × 1015 | 5 × 10-4 | 2.075 × 10-8 | 30.00 |
| 31 | G | 69,723 | 38.723 | 1.34138 | 1.34138 | 1,000 | 1.34138 | 2.72641 × 1015 | 5 × 10-4 | 2.075 × 10-8 | 31.00 |
| 32 | Ge | 72.641 | 40.640 | 1.25405 | 125405 | 1,000 | 125405 | 2.72641 × 1015 | 5 × 10-4 | 2.075 × 10-8 | 32.00 |
| 33 | As | 74,921 | 41.9210 | 1.17588 | 1.17588 | 1.001 | 117705 | 2.72641 × 1015 | 5 × 10-4 | 2.075 × 10-8 | 33.00 |
| 34 | Se | 78,963 | 44,9600 | 1.10477 | 1.10477 | 0.999 | 1.10366 | 2.72641 × 1015 | 5 × 10-4 | 2.075 × 10-8 | 34.00 |
| 35 | Br | 79,904 | 44,9040 | 1.03974 | 1.03974 | 1,001 | 1.04077 | 2.72641 × 1015 | 5 × 10-4 | 2.075 × 10-8 | 35.00 |
| 36 | Kr | 83.798 | 47,7980 | 0.9801 | 0.9801 | 0.999 | 0.98 | 2.72641 × 1015 | 5 × 10-4 | 2.075 × 10-8 | 36.00 |
| 37 | Rb | 85,467 | 48,4670 | 0.9255 | 0.9255 | 1.000 | 0.9255 | 2.72641 × 1015 | 5 × 10-4 | 2.075 × 10-8 | 37.00 |
| 38 | Sr | 87,621 | 49.620 | 0.87529 | 0.87529 | 1001 | 0.87616 | 2.72641 × 1015 | 5 × 10-4 | 2.075 × 10-8 | 38.00 |
| 39 | Y | 88.905 | 49,9050 | 0.83071 | 0.83071 | 1.000 | 0.8307 | 2.72641 × 1015 | 5 × 10-4 | 2.075 × 10-8 | 39.00 |
| 40 | Zr | 91.224 | 51.2240 | 0.79012 | 0.78595 | 1.000 | 0.78803 | 2.72641 × 1015 | 5 × 10-4 | 2.075 × 10-8 | 40.00 |
| 41 | Nb | 92,906 | 51.9060 | 0.7504 | 0.74622 | 1.001 | 0.74868 | 2.72641 × 1015 | 5 × 10-4 | 2.075 × 10-8 | 41.00 |
| 42 | Mo | 95,942 | 53,9400 | 0.7136 | 0.70932 | 1001 | 0.71181 | 2.72641 × 1015 | 5 × 10-4 | 2.075 × 10-8 | 42.00 |
| 43 | Tc | 97.907 | 54,9070 | 0.67934 | 0.67509 | 1.003 | 0.67823 | 2.72641 × 1015 | 5 × 10-4 | 2.075 × 10-8 | 43.00 |
| 44 | Ru | 101.07 | 57,0700 | 0.64743 | 0.6431 | 1.002 | 0.64591 | 2.72641 × 1015 | 5 × 10-4 | 2.075 × 10-8 | 44.00 |
| 45 | Rh | 102,905 | 57,9050 | 0.61765 | 0.61329 | 1.003 | 0.61639 | 2.72641 × 1015 | 5 × 10-4 | 2.075 × 10-8 | 45.00 |
| 46 | Pd | 106.421 | 60.420 | 0.58984 | 0.58547 | 1.002 | 0.5881 | 2.72641 × 1015 | 5 × 10-4 | 2.075 × 10-8 | 46.00 |
| 47 | Ag | 107.868 | 60.8680 | 0.56382 | 0.55943 | 1.004 | 0.56277 | 2.72641 × 1015 | 5 × 10-4 | 2.075 × 10-8 | 47.00 |
| 48 | Cd | 112,441 | 64,4110 | 0.53944 | 0.53503 | 1.000 | 0.53723 | 2.72641 × 1015 | 5 × 10-4 | 2.075 × 10-8 | 48.00 |
| 49 | In | 114.818 | 65.8180 | 0.51656 | 0.51213 | 1.001 | 0.5146 | 2.72641 × 1015 | 5 × 10-4 | 2.075 × 10-8 | 49.00 |
| 50 | Sn | 118.711 | 68.7110 | 0.49062 | 0.49062 | 1.003 | 0.49209 | 2.72641 × 1015 | 5 × 10-4 | 2.075 × 10-8 | 50.00 |
TABLE. 1 The essence of electric charge.
| Z | Symbol | Atomic weight (Am) | Am-Z | λk1 × 10-10 | λk2 × 10-10 | d | |
b | k1 | k2 | |
| 51 | Sb | 121.761 | 70.761 | 0.47037 | 0.47037 | 1.004 | 0.47210 | 2.72641 × 1015 | 5 × 10-4 | 2.075 × 10-8 | 51.0 |
| 52 | Te | 127.603 | 75.603 | 0.45129 | 0.45129 | 1.001 | 0.45170 | 2.72641 × 1015 | 5 × 10-4 | 2.075 × 10-8 | 52.0 |
| 53 | I | 126.904 | 73.904 | 0.43784 | 0.43333 | 0.999 | 0.43536 | 2.72641 × 1015 | 5 × 10-4 | 2.075 × 10-8 | 53.0 |
| 54 | Xe | 131.293 | 77.293 | 0.41635 | 0.41635 | 1.003 | 0.41759 | 2.72641 × 1015 | 5 × 10-4 | 2.075 × 10-8 | 54.0 |
| 55 | Cs | 132.905 | 77.905 | 0.40180 | 0.40180 | 1.001 | 0.40220 | 2.72641 × 1015 | 5 × 10-4 | 2.075 × 10-8 | 55.0 |
| 56 | Ba | 137.327 | 81.327 | 0.38512 | 0.38512 | 1.005 | 0.38666 | 2.72641 × 1015 | 5 × 10-4 | 2.075 × 10-8 | 56.0 |
| 57 | La | 138.905 | 81.905 | 0.37532 | 0.37075 | 0.998 | 0.37266 | 2.72641 × 1015 | 5 × 10-4 | 2.075 × 10-8 | 57.0 |
| 58 | Ce | 140.116 | 82.116 | 0.36169 | 0.35710 | 1.001 | 0.35958 | 2.72641 × 1015 | 5 × 10-4 | 2.075 × 10-8 | 58.0 |
| 59 | Pr | 140.907 | 81.907 | 0.34876 | 0.34415 | 1.006 | 0.34750 | 2.72641 × 1015 | 5 × 10-4 | 2.075 × 10-8 | 59.0 |
| 60 | Nd | 144.243 | 84.240 | 0.33185 | 0.33185 | 1.010 | 0.33517 | 2.72641 × 1015 | 5 × 10-4 | 2.075 × 10-8 | 60.0 |
| 61 | Pm | 144.910 | 83.910 | 0.32481 | 0.31481 | 0.998 | 0.32416 | 2.72641 × 1015 | 5 × 10-4 | 2.075 × 10-8 | 61.0 |
| 62 | Sm | 150.363 | 88.363 | 0.31371 | 0.30905 | 1.006 | 0.31232 | 2.72641 × 1015 | 5 × 10-4 | 2.075 × 10-8 | 62.0 |
| 63 | Eu | 151.964 | 88.964 | 0.30313 | 0.30313 | 0.997 | 0.30222 | 2.72641 × 1015 | 5 × 10-4 | 2.075 × 10-8 | 63.0 |
| 64 | Gd | 157.253 | 93.253 | 0.29305 | 0.28836 | 1.005 | 0.29143 | 2.72641 × 1015 | 5 × 10-4 | 2.075 × 10-8 | 64.0 |
| 65 | Tb | 158.925 | 93.925 | 0.28343 | 0.27873 | 1.008 | 0.28221 | 2.72641 × 1015 | 5 × 10-4 | 2.075 × 10-8 | 65.0 |
| 66 | Dy | 162.500 | 96.500 | 0.27427 | 0.26954 | 1.007 | 0.27186 | 2.72641 × 1015 | 5 × 10-4 | 2.075 × 10-8 | 66.0 |
| 67 | Ho | 164.930 | 97.930 | 0.26549 | 0.26077 | 1.009 | 0.26432 | 2.72641 × 1015 | 5 × 10-4 | 2.075 × 10-8 | 67.0 |
| 68 | Er | 167.259 | 99.259 | 0.25712 | 0.25237 | 1.011 | 0.25616 | 2.72641 × 1015 | 5 × 10-4 | 2.075 × 10-8 | 68.0 |
| 69 | Tm | 168.934 | 99.934 | 0.25163 | 0.24435 | 1.005 | 0.24862 | 2.72641 × 1015 | 5 × 10-4 | 2.075 × 10-8 | 69.0 |
| 70 | Yb | 173.043 | 103.04 | 0.24150 | 0.23666 | 1.013 | 0.24065 | 2.72641 × 1015 | 5 × 10-4 | 2.075 × 10-8 | 70.0 |
| 71 | Lu | 174.967 | 103.967 | 0.23409 | 0.23409 | 0.998 | 0.23362 | 2.72641 × 1015 | 5 × 10-4 | 2.075 × 10-8 | 71.0 |
| 72 | Hf | 178.490 | 106.49 | 0.22926 | 0.22223 | 1.007 | 0.22655 | 2.72641 × 1015 | 5 × 10-4 | 2.075 × 10-8 | 72.0 |
| 73 | Ta | 180.948 | 107.95 | 0.22030 | 0.22030 | 0.999 | 0.22007 | 2.72641 × 1015 | 5 × 10-4 | 2.075 × 10-8 | 73.0 |
| 74 | W | 183.840 | 109.84 | 0.21383 | 0.21383 | 0.999 | 0.21362 | 2.72641 × 1015 | 5 × 10-4 | 2.075 × 10-8 | 74.0 |
| 75 | Re | 186.205 | 111.205 | 0.26762 | 0.26762 | 1.000 | 0.20762 | 2.72641 × 1015 | 5 × 10-4 | 2.075 × 10-8 | 75.0 |
| 76 | Os | 190.230 | 114.23 | 0.20165 | 0.20165 | 0.999 | 0.20145 | 2.72641 × 1015 | 5 × 10-4 | 2.075 × 10-8 | 76.0 |
| 77 | Ir | 192.217 | 115.217 | 0.19591 | 0.19591 | 1.001 | 0.19611 | 2.72641 × 1015 | 5 × 10-4 | 2.075 × 10-8 | 77.0 |
| 78 | Pt | 195.078 | 117.078 | 0.19038 | 0.19038 | 1.001 | 0.19057 | 2.72641 × 1015 | 5 × 10-4 | 2.075 × 10-8 | 78.0 |
| 79 | Au | 196.967 | 117.967 | 0.18508 | 0.18508 | 1.002 | 0.18545 | 2.72641 × 1015 | 5 × 10-4 | 2.075 × 10-8 | 79.0 |
| 80 | Hg | 200.590 | 120.59 | 0.17996 | 0.17996 | 1.002 | 0.18032 | 2.72641 × 1015 | 5 × 10-4 | 2.075 × 10-8 | 80.0 |
| 81 | Tl | 204.383 | 123.38 | 0.17504 | 0.17504 | 1.003 | 0.17556 | 2.72641 × 1015 | 5 × 10-4 | 2.075 × 10-8 | 81.0 |
| 82 | Pb | 207.200 | 125.20 | 0.17030 | 0.17030 | 1.003 | 0.17081 | 2.72641 × 1015 | 5 × 10-4 | 2.075 × 10-8 | 82.0 |
| 83 | Bi | 208.980 | 125.98 | 0.16572 | 0.16572 | 1.005 | 0.16655 | 2.72641 × 1015 | 5 × 10-4 | 2.075 × 10-8 | 83.0 |
| 84 | Po | 208.980 | 124.98 | 0.16248 | 0.16248 | 1.002 | 0.16280 | 2.72641 × 1015 | 5 × 10-4 | 2.075 × 10-8 | 84.0 |
| 85 | At | 209.990 | 124.99 | 0.15846 | 0.15846 | 1.003 | 0.15893 | 2.72641 × 1015 | 5 × 10-4 | 2.075 × 10-8 | 85.0 |
| 86 | Rn | 222.020 | 136.02 | 0.15293 | 0.15293 | 1.003 | 0.15338 | 2.72641 × 1015 | 5 × 10-4 | 2.075 × 10-8 | 86.0 |
| 87 | Fr | 223.020 | 136.02 | 0.15028 | 0.15028 | 0.998 | 0.14998 | 2.72641 × 1015 | 5 × 10-4 | 2.075 × 10-8 | 87.0 |
| 88 | Ra | 226.030 | 138.03 | 0.14640 | 0.14640 | 0.998 | 0.14611 | 2.72641 × 1015 | 5 × 10-4 | 2.075 × 10-8 | 88.0 |
| 89 | Ac | 227.030 | 138.03 | 0.14265 | 0.14265 | 1.001 | 0.14279 | 2.72641 × 1015 | 5 × 10-4 | 2.075 × 10-8 | 89.0 |
| 90 | Th | 232.038 | 142.04 | 0.13903 | 0.13903 | 1.000 | 0.13903 | 2.72641 × 1015 | 5 × 10-4 | 2.075 × 10-8 | 90.0 |
| 91 | Pa | 231.035 | 140.04 | 0.13552 | 0.13552 | 1.005 | 0.13620 | 2.72641 × 1015 | 5 × 10-4 | 2.075 × 10-8 | 91.0 |
| 92 | U | 238.028 | 146.03 | 0.13212 | 0.13212 | 1.002 | 0.13238 | 2.72641 × 1015 | 5 × 10-4 | 2.075 × 10-8 | 92.0 |
| 93 | Np | 237.050 | 144.05 | 0.12883 | 0.12883 | 1.008 | 0.12986 | 2.72641 × 1015 | 5 × 10-4 | 2.075 × 10-8 | 93.0 |
| 94 | Pu | 244.060 | 150.06 | 0.12564 | 0.12564 | 1.005 | 0.12626 | 2.72641 × 1015 | 5 × 10-4 | 2.075 × 10-8 | 94.0 |
| 95 | Am | 243.060 | 148.05 | 0.12255 | 0.12255 | 1.008 | 0.12365 | 2.72641 × 1015 | 5 × 10-4 | 2.075 × 10-8 | 95.0 |
| 96 | Cm | 247.070 | 151.07 | 0.11955 | 0.11955 | 1.010 | 0.12075 | 2.72641 × 1015 | 5 × 10-4 | 2.075 × 10-8 | 96.0 |
| 97 | Bk | 247.070 | 150.07 | 0.11662 | 0.11662 | 1.015 | 0.11887 | 2.72641 × 1015 | 5 × 10-4 | 2.075 × 10-8 | 97.0 |
| 98 | Cf | 251.080 | 153.08 | 0.11383 | 0.11383 | 1.017 | 0.11577 | 2.72641 × 1015 | 5 × 10-4 | 2.075 × 10-8 | 98.0 |
| 99 | Es | 252.080 | 153.08 | 0.11109 | 0.11109 | 1.020 | 0.11331 | 2.72641 × 1015 | 5 × 10-4 | 2.075 × 10-8 | 99.0 |
| 100 | Fm | 257.010 | 157.01 | 0.10838 | 0.10838 | 1.021 | 0.11066 | 2.72641 × 1015 | 5 × 10-4 | 2.075 × 10-8 | 100.0 |
TABLE. 2 The essence of electric charge.
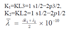
K1=KL3=1 s1/2−2p3/2,
K2=KL2=1 s1/2−2p1/2

For example, for Li,
The number or nuclear charge of other elements can also be calculated by this formula. This formula indicates that the nuclear charge of an element can be calculated by the wavelength of the X-ray of the element; thus, this formula indicates the essence of the nuclear charge of the element, namely, it reveals the essence of the electric charge.
The essence of gravitational mass
According to the above findings, the following formula can be used to calculate the atomic mass of an element by moving photons: 
where ma is the atomic mass of the element, Am is the atomic weight of the element, Z is the atomic number or element number, λk1 is the wavelength of X-ray emission at a lower energy level, λk2 is the wavelength of X-ray emission at a higher energy level, and λ is the mean wavelength of these two wavelengths of X-ray emission. b, k1, k2 are all constant. For example,

Other atomic masses can also be calculated by this formula. The test results for this formula are shown in Tables 3 and 4 [3-6].
| Z | Symbol | Atomic weight (Am) | Am-Z | λk1 × 10-10 | λk2 × 10-10 | |
b | k1 | k2 | |
| 3 | Li | 6.9410 | 3.941 | 226.456 | 226.456 | 2.72641 × 1015 | 1.314 | 1.115 × 10-8 | 6.5941 | |
| 4 | Be | 9.0120 | 5.012 | 111.698 | 111.698 | 2.72641 × 1015 | 1.314 | 1.115 × 10-8 | 8.5812 | |
| 5 | B | 10.811 | 5.881 | 65.9495 | 65.9495 | 2.72641 × 1015 | 1.314 | 1.115 × 10-8 | 10.413 | |
| 6 | C | 12.011 | 6.011 | 43.6813 | 43.6813 | 2.72641 × 1015 | 1.314 | 1.115 × 10-8 | 12.015 | |
| 7 | N | 14.006 | 7.006 | 30.9899 | 30.9899 | 2.72641 × 1015 | 1.314 | 1.115 × 10-8 | 14.018 | |
| 8 | O | 15.999 | 7.999 | 23.3186 | 23.3186 | 2.72641 × 1015 | 1.314 | 1.115 × 10-8 | 15.691 | |
| 9 | F | 18.998 | 9.998 | 18.0894 | 18.0894 | 2.72641 × 1015 | 1.314 | 1.115 × 10-8 | 18.359 | |
| 10 | Ne | 20.179 | 10.179 | 14.3023 | 14.3023 | 2.72641 × 1015 | 1.314 | 1.115 × 10-8 | 20.177 | |
| 11 | Na | 22.989 | 11.989 | 11.5693 | 11.5693 | 2.72641 × 1015 | 1.314 | 1.115 × 10-8 | 22.917 | |
| 12 | Mg | 24.305 | 12.305 | 9.51257 | 9.51257 | 2.72641 × 1015 | 1.314 | 1.115 × 10-8 | 24.086 | |
| 13 | Al | 26.981 | 13.981 | 7.9484 | 7.94838 | 2.72641 × 1015 | 1.314 | 1.115 × 10-8 | 26.703 | |
| 14 | Si | 28.085 | 14.085 | 6.73833 | 6.73833 | 2.72641 × 1015 | 1.314 | 1.115×10-8 | 28.186 | |
| 15 | P | 30.973 | 15.973 | 5.78424 | 5.78424 | 5.78424 | 2.72641 × 1015 | 1.314 | 1.115 × 10-8 | 30.970 |
| 16 | S | 32.065 | 16.065 | 5.03166 | 5.03166 | 2.72641 × 1015 | 1.314 | 1.115 × 10-8 | 32.405 | |
| 17 | Cl | 35.453 | 18.453 | 4.403905 | 2.72641 × 1015 | 1.314 | 1.115 × 10-8 | 35.572 | ||
| 18 | Ar | 39.948 | 21.948 | 3.8861 | 3.8861 | 2.72641 × 1015 | 1.314 | 1.115 × 10-8 | 39.567 | |
| 19 | K | 39.098 | 20.098 | 3.7445 | 3.4365 | 3.5905 | 2.72641 × 1015 | 1.314 | 1.115 × 10-8 | 39.078 |
| 20 | Ca | 40.078 | 20.078 | 3.3617 | 3.0704 | 3.2161 | 2.72641 × 1015 | 1.314 | 1.115 × 10-8 | 40.252 |
| 21 | Sc | 44.955 | 23.955 | 3.0343 | 2.7620 | 2.8982 | 2.72641 × 1015 | 1.314 | 1.115 × 10-8 | 44.434 |
| 22 | Ti | 47.876 | 25.876 | 2.7486 | 2.4974 | 2.6230 | 2.72641 × 1015 | 1.314 | 1.115 × 10-8 | 47.216 |
| 23 | V | 50.941 | 27.941 | 2.5074 | 2.2692 | 2.3883 | 2.72641 × 1015 | 1.314 | 1.115 × 10-8 | 50.069 |
| 24 | Cr | 51.996 | 27.996 | 2.2897 | 2.0703 | 2.1800 | 2.72641 × 1015 | 1.314 | 1.115 × 10-8 | 51.498 |
| 25 | Mn | 54.938 | 29.938 | 2.1018 | 1.8965 | 1.99915 | 2.72641 × 1015 | 1.314 | 1.115 × 10-8 | 54.291 |
| 26 | Fe | 55.845 | 29.845 | 1.9361 | 1.7435 | 1.83980 | 2.72641 × 1015 | 1.314 | 1.115 × 10-8 | 55.593 |
| 27 | Co | 58.933 | 31.933 | 1.78903 | 1.6082 | 1.69862 | 2.72641 × 1015 | 1.314 | 1.115 × 10-8 | 58.499 |
| 28 | Ni | 58.693 | 30.693 | 1.6618 | 1.4881 | 1.57495 | 2.72641 × 1015 | 1.314 | 1.115 × 10-8 | 58.921 |
| 29 | Cu | 63.546 | 34.546 | 1.5444 | 1.3806 | 1.46256 | 2.72641 × 1015 | 1.314 | 1.115 × 10-8 | 63.131 |
| 30 | Zn | 65.409 | 35.409 | 1.4390 | 1.28339 | 1.36120 | 2.72641 × 1015 | 1.314 | 1.115 × 10-8 | 65.152 |
| 31 | Ga | 69.723 | 38.723 | 1.3401 | 1.19582 | 1.26796 | 2.72641 × 1015 | 1.314 | 1.115 × 10-8 | 69.038 |
| 32 | Ge | 72.641 | 40.640 | 1.2541 | 1.11662 | 1.18536 | 2.72641 × 1015 | 1.314 | 1.115 × 10-8 | 72.048 |
| 33 | As | 74.921 | 41.921 | 1.1799 | 1.04496 | 1.11243 | 2.72641 × 1015 | 1.314 | 1.115 × 10-8 | 74.141 |
| 34 | Se | 78.963 | 44.960 | 1.1048 | 0.97977 | 1.04229 | 2.72641 × 1015 | 1.314 | 1.115 × 10-8 | 78.078 |
| 35 | Br | 79.904 | 44.904 | 1.0438 | 0.92045 | 0.98213 | 2.72641 × 1015 | 1.314 | 1.115 × 10-8 | 79.366 |
| 36 | Kr | 83.798 | 47.798 | 0.9801 | 0.86555 | 0.92283 | 2.72641 × 1015 | 1.314 | 1.115 × 10-8 | 83.038 |
| 37 | Rb | 85.467 | 48.467 | 0.92558 | 0.81556 | 0.87057 | 2.72641 × 1015 | 1.314 | 1.115 × 10-8 | 85.115 |
| 38 | Sr | 87.621 | 49.620 | 0.8795 | 0.76976 | 0.82463 | 2.72641 × 1015 | 1.314 | 1.115 × 10-8 | 87.148 |
| 39 | Y | 88.905 | 49.905 | 0.8330 | 0.72769 | 0.78035 | 2.72641 × 1015 | 1.314 | 1.115 × 10-8 | 88.786 |
| 40 | Zr | 91.224 | 51.224 | 0.7901 | 0.68885 | 0.73948 | 2.72641 × 1015 | 1.314 | 1.115 × 10-8 | 91.201 |
| 41 | Nb | 92.906 | 51.906 | 0.7504 | 0.65300 | 0.70170 | 2.72641 × 1015 | 1.314 | 1.115 × 10-8 | 92.891 |
| 42 | Mo | 95.942 | 53.940 | 0.7136 | 0.61994 | 0.66677 | 2.72641 × 1015 | 1.314 | 1.115 × 10-8 | 95.838 |
| 43 | Tc | 97.907 | 54.907 | 0.6793 | 0.58908 | 0.63419 | 2.72641 × 1015 | 1.314 | 1.115 × 10-8 | 97.997 |
| 44 | Ru | 101.07 | 57.070 | 0.6474 | 0.56053 | 0.60397 | 2.72641 × 1015 | 1.314 | 1.115 × 10-8 | 101.027 |
| 45 | Rh | 102.905 | 57.905 | 0.6176 | 0.54121 | 0.57941 | 2.72641 × 1015 | 1.314 | 1.115 × 10-8 | 102.804 |
| 46 | Pd | 106.421 | 60.421 | 0.5898 | 0.50922 | 0.54951 | 2.72641 × 1015 | 1.314 | 1.115 × 10-8 | 106.452 |
| 47 | Ag | 107.868 | 60.868 | 0.5638 | 0.49771 | 0.53076 | 2.72641 × 1015 | 1.314 | 1.115 × 10-8 | 107.650 |
| 48 | Cd | 112.441 | 64.411 | 0.5394 | 0.46409 | 0.50175 | 2.72641 × 1015 | 1.314 | 1.115 × 10-8 | 112.372 |
| 49 | In | 114.818 | 65.818 | 0.5165 | 0.44372 | 0.48011 | 2.72641 × 1015 | 1.314 | 1.115 × 10-8 | 114.897 |
| 50 | Sn | 118.711 | 68.711 | 0.4950 | 0.42468 | 0.45984 | 2.72641 × 1015 | 1.314 | 1.115 × 10-8 | 118.547 |
| 51 | Sb | 121.761 | 70.761 | 0.4748 | 0.40669 | 0.44075 | 2.72641 × 1015 | 1.314 | 1.115 × 10-8 | 121.572 |
| 52 | Te | 127.603 | 75.603 | 0.4513 | 0.38975 | 0.42053 | 2.72641 × 1015 | 1.314 | 1.115 × 10-8 | 127.051 |
| 53 | I | 126.904 | 73.904 | 0.4378 | 0.37383 | 0.40582 | 2.72641 × 1015 | 1.314 | 1.115 × 10-8 | 126.919 |
| 54 | Xe | 131.293 | 77.293 | 0.4208 | 0.35844 | 0.38962 | 2.72641 × 1015 | 1.314 | 1.115 × 10-8 | 131.020 |
| 55 | Cs | 132.905 | 77.905 | 0.4048 | 0.34453 | 0.37467 | 2.72641 × 1015 | 1.314 | 1.115 × 10-8 | 132.959 |
| 56 | Ba | 137.327 | 81.327 | 0.3896 | 0.33105 | 0.36033 | 2.72641 × 1015 | 1.314 | 1.115 × 10-8 | 137.082 |
| 57 | La | 138.905 | 81.905 | 0.3753 | 0.31937 | 0.34734 | 2.72641 × 1015 | 1.314 | 1.115 × 10-8 | 138.931 |
| 58 | Ce | 140.116 | 82.116 | 0.3617 | 0.30649 | 0.33410 | 2.72641 × 1015 | 1.314 | 1.115 × 10-8 | 140.695 |
| 59 | Pr | 140.907 | 81.907 | 0.3487 | 0.30498 | 0.32684 | 2.72641 × 1015 | 1.314 | 1.115 × 10-8 | 140.890 |
| 60 | Nd | 144.243 | 84.240 | 0.3365 | 0.29404 | 0.31527 | 2.72641 × 1015 | 1.314 | 1.115 × 10-8 | 144.270 |
| 61 | Pm | 144.910 | 83.910 | 0.3248 | 0.28361 | 0.30421 | 2.72641 × 1015 | 1.314 | 1.115 × 10-8 | 145.524 |
| 62 | Sm | 150.363 | 88.363 | 0.3137 | 0.27376 | 0.29373 | 2.72641 × 1015 | 1.314 | 1.115 × 10-8 | 150.418 |
| 63 | Eu | 151.964 | 88.964 | 0.3031 | 0.26434 | 0.28372 | 2.72641 × 1015 | 1.314 | 1.115 × 10-8 | 151.987 |
| 64 | Gd | 157.253 | 93.253 | 0.2930 | 0.25535 | 0.27418 | 2.72641 × 1015 | 1.314 | 1.115 × 10-8 | 157.200 |
| 65 | Tb | 158.925 | 93.925 | 0.2834 | 0.24684 | 0.26512 | 2.72641 × 1015 | 1.314 | 1.115 × 10-8 | 158.954 |
| 66 | Dy | 162.500 | 96.500 | 0.2743 | 0.23863 | 0.25647 | 2.72641 × 1015 | 1.314 | 1.115 × 10-8 | 162.745 |
| 67 | Ho | 164.930 | 97.930 | 0.2655 | 0.23084 | 0.24817 | 2.72641 × 1015 | 1.314 | 1.115 × 10-8 | 164.952 |
| 68 | Er | 167.259 | 99.259 | 0.2572 | 0.22342 | 0.24031 | 2.72641 × 1015 | 1.314 | 1.115 × 10-8 | 167.957 |
| 69 | Tm | 168.934 | 99.934 | 0.2491 | 0.21636 | 0.23273 | 2.72641 × 1015 | 1.314 | 1.115 × 10-8 | 169.589 |
| 70 | Yb | 173.043 | 103.04 | 0.2438 | 0.21037 | 0.22708 | 2.72641 × 1015 | 1.314 | 1.115 × 10-8 | 173.409 |
| 71 | Lu | 174.967 | 103.97 | 0.2364 | 0.20384 | 0.22012 | 2.72641 × 1015 | 1.314 | 1.115 × 10-8 | 175.689 |
| 72 | Hf | 178.490 | 106.49 | 0.2293 | 0.19759 | 0.21345 | 2.72641 × 1015 | 1.314 | 1.115 × 10-8 | 179.204 |
| 73 | Ta | 180.948 | 107.95 | 0.2225 | 0.19161 | 0.20705 | 2.72641 × 1015 | 1.314 | 1.115 × 10-8 | 181.916 |
| 74 | W | 183.850 | 109.85 | 0.2159 | 0.18586 | 0.20088 | 2.72641 × 1015 | 1.314 | 1.115 × 10-8 | 184.993 |
| 75 | Re | 186.207 | 111.21 | 0.2096 | 0.18035 | 0.19498 | 2.72641 × 1015 | 1.314 | 1.115 × 10-8 | 187.653 |
| 76 | Os | 190.200 | 114.20 | 0.2036 | 0.17506 | 0.18933 | 2.72641 × 1015 | 1.314 | 1.115 × 10-8 | 191.579 |
| 77 | Ir | 192.220 | 115.22 | 0.1978 | 0.16998 | 0.18388 | 2.72641 × 1015 | 1.314 | 1.115 × 10-8 | 193.482 |
| 78 | Pt | 195.080 | 117.08 | 0.1921 | 0.16509 | 0.17865 | 2.72641 × 1015 | 1.314 | 1.115 × 10-8 | 196.555 |
| 79 | Au | 196.967 | 117.97 | 0.18020 | 0.18020 | 2.72641 × 1015 | 1.314 | 1.115 × 10-8 | 195.795 | |
| 80 | Hg | 200.590 | 120.59 | 0.17507 | 0.17507 | 2.72641 × 1015 | 1.314 | 1.115 × 10-8 | 200.020 | |
| 80 | Hg | 200.590 | 120.59 | 0.17507 | 0.17507 | 2.72641 × 1015 | 1.314 | 1.115 × 10-8 | 200.020 | |
| 81 | Tl | 204.383 | 121.38 | 0.17013 | 0.17013 | 2.72641 × 1015 | 1.314 | 1.115 × 10-8 | 203.322 | |
| 82 | Pb | 207.200 | 125.20 | 0.16538 | 0.16538 | 2.72641 × 1015 | 1.314 | 1.115 × 10-8 | 206.425 | |
| 83 | Bi | 208.980 | `125.98 | 0.16079 | 0.16079 | 2.72641 × 1015 | 1.314 | 1.115 × 10-8 | 208.757 | |
| 84 | Po | 208.982 | 124.98 | 0.15633 | 0.15633 | 2.72641 × 1015 | 1.314 | 1.115 × 10-8 | 209.760 | |
| 85 | At | 209.987 | 124.99 | 0.15209 | 0.15209 | 2.72641 × 1015 | 1.314 | 1.115 × 10-8 | 211.503 |
TABLE. 3 The essence of gravitational mass.
| Z | Symbol | Atomic weight (Am) | Am-Z | λk1 × 10-10 | λk2 × 10-10 | |
b | k1 | k2 | |
| 86 | Rn | 222.017 | 136.02 | 0.14797 | 0.14797 | 2.72641 × 1015 | 1.314 | 1.115 × 10-8 | 221.783 | |
| 87 | Fr | 223.019 | 136.02 | 0.14399 | 0.14399 | 2.72641 × 1015 | 1.314 | 1.115 × 10-8 | 223.586 | |
| 88 | Ra | 226.025 | 138.03 | 0.14014 | 0.14014 | 2.72641 × 1015 | 1.314 | 1.115 × 10-8 | 226.959 | |
| 89 | Ac | 227.028 | 138.03 | 0.1414 | 0.13640 | 0.13890 | 2.72641 × 1015 | 1.314 | 1.115 × 10-8 | 227.379 |
| 90 | Th | 232.038 | 142.04 | 0.1378 | 0.13282 | 0.13532 | 2.72641 × 1015 | 1.314 | 1.115 × 10-8 | 231.625 |
| 91 | Pa | 232.038 | 141.04 | 0.1344 | 0.12933 | 0.13184 | 2.72641 × 1015 | 1.314 | 1.115 × 10-8 | 232.652 |
| 92 | U | 238.028 | 146.03 | 0.1310 | 0.12595 | 0.12848 | 2.72641 × 1015 | 1.314 | 1.115 × 10-8 | 238.318 |
| 93 | Np | 237.048 | 144.05 | 0.1288 | 0.12268 | 0.12575 | 2.72641 × 1015 | 1.314 | 1.115 × 10-8 | 237.447 |
| 94 | Pu | 244.064 | 150.06 | 0.1246 | 0.11951 | 0.12204 | 2.72641 × 1015 | 1.314 | 1.115 × 10-8 | 245.156 |
| 95 | Am | 243.061 | 149.06 | 0.1215 | 0.12150 | 2.72641 × 1015 | 1.314 | 1.115 × 10-8 | 242.935 | |
| 96 | Cm | 247.071 | 151.07 | 0.1185 | 0.11854 | 2.72641 × 1015 | 1.314 | 1.115 × 10-8 | 247.051 | |
| 97 | Bk | 247.071 | 150.07 | 0.11566 | 0.11566 | 2.72641 × 1015 | 1.314 | 1.115 × 10-8 | 248.101 | |
| 98 | Cf | 251.079 | 153.08 | 0.11288 | 0.11288 | 2.72641 × 1015 | 1.314 | 1.115 × 10-8 | 251.572 | |
| 99 | Es | 252.083 | 153.08 | 0.1111 | 0.11107 | 2.72641 × 1015 | 1.314 | 1.115 × 10-8 | 252.387 | |
| 100 | Fm | 257.095 | 157.09 | 0.1084 | 0.10838 | 2.72641 × 1015 | 1.314 | 1.115 × 10-8 | 257.331 |
TABLE. 4 The below table shows atomic masses.
In these tables, from Cl to La, the X-ray wavelengths include the Kl2 and Kabs edges at the K level. Some data were obtained via the following formula: λ=12398.418/(E(eV)). From Li to S, the constant k3 is 1.135e-8, which is more accurate than the value of 1.115e-8. From Cl to Fm, the constant K3 is 1.115e-8. This calculation shows that the essence of gravitational mass is due to the movement of photons. Because the atomic mass in the periodic table of elements is a weighted aggregate, every atomic mass with its X-ray wavelength is used to accurately test the meaning of
see the following test Tables 5 and 6 [3-6].
| Z | Symbol | Atomic weight (Am) | Natural abundance | λk1 × 10-10 | λk2 × 10-10 | |
b | k1 | |
| 3 | Li | 7.0120 | 92.414 | 226.456 | 226.456 | 2.72641 × 1015 | 1.314 | 1.17661 × 10-8 | |
| 4 | Be | 9.0120 | 100 | 111.698 | 111.698 | 2.72641 × 1015 | 1.314 | 1.17095 × 10-8 | |
| 5 | B | 11.0093 | 80.17 | 65.9496 | 65.9496 | 2.72641 × 1015 | 1.314 | 1.16525 × 10-8 | |
| 6 | C | 12.0000 | 98.93 | 43.6813 | 43.6813 | 2.72641 × 1015 | 1.314 | 1.13425 × 10-8 | |
| 7 | N | 14.0031 | 99.636 | 30.9899 | 30.9899 | 2.72641 × 1015 | 1.314 | 1.13353 × 10-8 | |
| 8 | O | 15.999 | 99.757 | 23.3186 | 23.3186 | 2.72641 × 1015 | 1.314 | 1.13686 × 10-8 | |
| 9 | F | 18.998 | 100 | 18.0894 | 18.0894 | 2.72641 × 1015 | 1.314 | 1.15379 × 10-8 | |
| 10 | Ne | 19.9924 | 90.48 | 14.3023 | 14.3023 | 2.72641 × 1015 | 1.314 | 1.13220 × 10-8 | |
| 11 | Na | 22.989 | 100 | 11.5755 | 11.5755 | 2.72641 × 1015 | 1.314 | 1.14121 × 10-8 | |
| 12 | Mg | 25.985 | 10.029 | 9.8903 | 9.8903 | 2.72641 ×1015 | 1.314 | 1.16570 × 10-8 | |
| 13 | Al | 26.981 | 100 | 8.342 | 8.342 | 2.72641 × 1015 | 1.314 | 1.15171 × 10-8 | |
| 14 | Si | 27.9769 | 92.223 | 7.0665 | 7.0665 | 2.72641 × 1015 | 1.314 | 1.13433 × 10-8 | |
| 15 | P | 30.9737 | 100 | 6.1661 | 6.1088 | 6.13345 | 2.72641 × 1015 | 1.314 | 1.14575 × 10-8 |
| 16 | S | 31.972 | 94.99 | 5.3719 | 5.0187 | 5.1953 | 2.72641 × 1015 | 1.314 | 1.11894 × 10-8 |
| 17 | Cl | 34.9688 | 75.76 | 4.8889 | 4.3982 | 4.6435 | 2.72641 × 1015 | 1.314 | 1.13490 × 10-8 |
| 18 | Ar | 39.9622 | 99.603 | 4.1948 | 3.871 | 4.0329 | 2.72641 × 1015 | 1.314 | 1.14563 × 10-8 |
| 19 | K | 38.9637 | 93.258 | 3.7445 | 3.4365 | 3.5905 | 2.72641 × 1015 | 1.314 | 1.11955 × 10-8 |
| 20 | Ca | 39.9625 | 96.941 | 3.3617 | 3.3617 | 2.72641 × 1015 | 1.314 | 1.13272 × 10-8 | |
| 21 | Sc | 44.9559 | 100 | 3.0343 | 2.762 | 2.8982 | 2.72641 × 1015 | 1.314 | 1.12808 × 10-8 |
| 22 | Ti | 47.9479 | 73.72 | 2.7523 | 2.4974 | 2.6249 | 2.72641 × 1015 | 1.314 | 1.13147 × 10-8 |
| 23 | V | 50.9439 | 99.75 | 2.5074 | 2.2692 | 2.3883 | 2.72641 × 1015 | 1.314 | 1.13441 × 10-8 |
| 24 | Cr | 51.9406 | 83.789 | 2.2936 | 2.0703 | 2.182 | 2.72641 × 1015 | 1.314 | 1.12596 × 10-8 |
| 25 | Mn | 54.938 | 100 | 2.1058 | 1.8965 | 2.0012 | 2.72641 × 1015 | 1.314 | 1.12883 × 10-8 |
| 26 | Fe | 55.9349 | 91.754 | 1.9401 | 1.7435 | 1.8418 | 2.72641 × 1015 | 1.314 | 1.12098 × 10-8 |
| 27 | Co | 58.933 | 100 | 1.7929 | 1.6082 | 1.70055 | 2.72641 × 1015 | 1.314 | 1.12388 × 10-8 |
| 28 | Ni | 57.9353 | 68.077 | 1.6618 | 1.6618 | 2.72641 × 1015 | 1.314 | 1.13572 × 10-8 | |
| 29 | Cu | 62.9295 | 69.15 | 1.5444 | 1.3806 | 1.46256 | 2.72641 × 1015 | 1.314 | 1.11949 × 10-8 |
| 30 | Zn | 65.926 | 27.73 | 1.439 | 1.28339 | 1.3612 | 2.72641 × 1015 | 1.314 | 1.12167 × 10-8 |
| 31 | Ga | 68.9255 | 60.108 | 1.344 | 1.19582 | 1.26991 | 2.72641 × 1015 | 1.314 | 1.12360 × 10-8 |
| 32 | Ge | 73.9211 | 36.521 | 1.258 | 1.11662 | 1.18731 | 2.72641 × 1015 | 1.314 | 1.13301 × 10-8 |
| 33 | As | 74.9215 | 100 | 1.1799 | 1.04496 | 1.11243 | 2.72641 × 1015 | 1.314 | 1.12673 × 10-8 |
| 34 | Se | 79.9165 | 49.803 | 1.1088 | 0.97977 | 1.0443 | 2.72641 × 1015 | 1.314 | 1.13722 × 10-8 |
| 35 | Br | 80.9162 | 49.31 | 1.0438 | 0.92045 | 0.98213 | 2.72641 × 1015 | 1.314 | 1.12909 × 10-8 |
| 36 | Kr | 83.9114 | 56.987 | 0.9841 | 0.86555 | 0.92483 | 2.72641 × 1015 | 1.314 | 1.12978 × 10-8 |
| 37 | Rb | 84.9117 | 72.172 | 0.9297 | 0.81556 | 0.87263 | 2.72641 × 1015 | 1.314 | 1.12408 × 10-8 |
| 38 | Sr | 87.9056 | 82.581 | 0.8795 | 0.76976 | 0.82463 | 2.72641 × 1015 | 1.314 | 1.12497 × 10-8 |
| 39 | Y | 88.9058 | 100 | 0.833 | 0.72769 | 0.78035 | 2.72641 × 1015 | 1.314 | 1.11950 × 10-8 |
| 40 | Zr | 89.9045 | 51.45 | 0.7901 | 0.68885 | 0.73948 | 2.72641 × 1015 | 1.314 | 1.11418 × 10-8 |
| 41 | Nb | 92.9063 | 100 | 0.7504 | 0.653 | 0.7017 | 2.72641 × 1015 | 1.314 | 1.11517 × 10-8 |
| 42 | Mo | 97.9054 | 24.292 | 0.7136 | 0.61994 | 0.66677 | 2.72641 × 1015 | 1.314 | 1.12182 × 10-8 |
| 43 | Tc | 99.9076 | 15.8s | 0.6793 | 0.58908 | 0.63419 | 2.72641 × 1015 | 1.314 | 1.11958 × 10-8 |
| 44 | Ru | 101.904 | 31.55 | 0.6474 | 0.56053 | 0.60397 | 2.72641 × 1015 | 1.314 | 1.11745 × 10-8 |
| 45 | Rh | 102.905 | 100 | 0.6176 | 0.53396 | 0.57578 | 2.72641 × 1015 | 1.314 | 1.11267 × 10-8 |
| 46 | Pd | 107.903 | 26.46 | 0.5898 | 0.50922 | 0.54951 | 2.72641 × 1015 | 1.314 | 1.11848 × 10-8 |
| 47 | Ag | 108.905 | 48.162 | 0.5638 | 0.4859 | 0.52485 | 2.72641 × 1015 | 1.314 | 1.11405 × 10-8 |
| 48 | Cd | 113.903 | 28.754 | 0.5394 | 0.46409 | 0.50175 | 2.72641 × 1015 | 1.314 | 1.11897 × 10-8 |
TABLE. 5 The essence of gravitational mass is due to the movement of photons.
|
Z |
Symbol |
Atomic weight (Am) |
Natural abundance |
λk1 × λ10-10 |
λk2 × 10-10 |
|
b |
k1 |
|
|
49 |
In |
114.904 |
95.715 |
0.5165 |
0.44372 |
0.48011 |
2.72641 × 1015 |
1.314 |
1.11443 × 10-8 |
|
50 |
Sn |
119.902 |
32.589 |
0.495 |
0.42468 |
0.45984 |
2.72641 × 1015 |
1.314 |
1.11924 × 10-8 |
|
51 |
Sb |
122.904 |
42.79 |
0.4748 |
0.40669 |
0.44075 |
2.72641 × 1015 |
1.314 |
1.11925 × 10-8 |
|
52 |
Te |
125.903 |
18.84 |
0.4558 |
0.38975 |
0.42278 |
2.72641 × 1015 |
1.314 |
1.11920 × 10-8 |
|
53 |
I |
126.904 |
100 |
0.4378 |
0.37383 |
0.40582 |
2.72641 × 1015 |
1.314 |
1.11486 × 10-8 |
|
54 |
Xe |
128.904 |
26.908 |
0.4208 |
0.35844 |
0.38962 |
2.72641 × 1015 |
1.314 |
1.11239 × 10-8 |
|
55 |
Cs |
132.905 |
100 |
0.4048 |
0.34453 |
0.37467 |
2.72641 × 1015 |
1.314 |
1.11454 × 10-8 |
|
56 |
Ba |
137.905 |
71.698 |
0.3896 |
0.33105 |
0.36033 |
2.72641 × 1015 |
1.314 |
1.11811 × 10-8 |
|
57 |
La |
138.905 |
99.911 |
0.3753 |
0.31845 |
0.34688 |
2.72641 × 1015 |
1.314 |
1.11406 × 10-8 |
|
58 |
Ce |
141.909 |
11.114 |
0.3617 |
0.30649 |
0.3341 |
2.72641 × 1015 |
1.314 |
1.11378 × 10-8 |
|
59 |
Pr |
140.907 |
100 |
0.3487 |
0.30498 |
0.32684 |
2.72641 × 1015 |
1.314 |
1.11419 × 10-8 |
|
60 |
Nd |
145.913 |
17.189 |
0.3365 |
0.29404 |
0.31527 |
2.72641 × 1015 |
1.314 |
1.11786 × 10-8 |
|
61 |
Pm |
147.917 |
5.37d |
0.3248 |
0.28361 |
0.30421 |
2.72641 × 1015 |
1.314 |
1.11579 × 10-8 |
|
62 |
Sm |
151.919 |
26.75 |
0.3137 |
0.27376 |
0.29373 |
2.72641 × 1015 |
1.314 |
1.11732 × 10-8 |
|
63 |
Eu |
152.921 |
55.196 |
0.3031 |
0.26434 |
0.28372 |
2.72641 × 1015 |
1.314 |
1.11350 × 10-8 |
|
64 |
Gd |
157.924 |
24.84 |
0.293 |
0.25535 |
0.27418 |
2.72641 × 1015 |
1.314 |
1.11650 × 10-8 |
|
65 |
Tb |
158.925 |
100 |
0.2834 |
0.24684 |
0.26512 |
2.72641 × 1015 |
1.314 |
1.11279 × 10-8 |
|
66 |
Dy |
163.929 |
28.26 |
0.2743 |
0.23863 |
0.25647 |
2.72641 × 1015 |
1.314 |
1.11561 × 10-8 |
|
67 |
Ho |
164.93 |
100 |
0.2655 |
0.23084 |
0.24817 |
2.72641 × 1015 |
1.314 |
1.11185 × 10-8 |
|
68 |
Er |
167.932 |
2.978 |
0.2572 |
0.22342 |
0.24031 |
2.72641 × 1015 |
1.314 |
1.11141 × 10-8 |
|
69 |
Tm |
168.934 |
100 |
0.2491 |
|
0.2491 |
2.72641 × 1015 |
1.314 |
1.14542 × 10-8 |
|
70 |
Yb |
173.938 |
32.026 |
0.2438 |
0.21037 |
0.22708 |
2.72641 × 1015 |
1.314 |
1.11399 × 10-8 |
|
71 |
Lu |
174.967 |
97.4 |
0.2364 |
0.20384 |
0.22012 |
2.72641 × 1015 |
1.314 |
1.11038 × 10-8 |
|
72 |
Hf |
179.946 |
35.08 |
0.2293 |
0.19759 |
0.21345 |
2.72641 × 1015 |
1.314 |
1.11267 × 10-8 |
|
73 |
Ta |
180.948 |
99.99 |
0.2225 |
|
0.22245 |
2.72641 × 1015 |
1.314 |
1.14899 × 10-8 |
|
74 |
W |
183.95 |
30.64 |
0.2159 |
|
0.21592 |
2.72641 × 1015 |
1.314 |
1.14836 × 10-8 |
|
75 |
Re |
186.955 |
62.6 |
0.2096 |
|
0.2096 |
2.72641 × 1015 |
1.314 |
1.14765 × 10-8 |
|
76 |
Os |
191.961 |
40.78 |
0.2036 |
|
0.2036 |
2.72641 × 1015 |
1.314 |
1.14983 × 10-8 |
|
77 |
Ir |
192.962 |
62.71 |
0.1978 |
|
0.1978 |
2.72641 × 1015 |
1.314 |
1.14628 × 10-8 |
|
78 |
Pt |
195.964 |
25.21 |
0.1921 |
|
0.19214 |
2.72641 × 1015 |
1.314 |
1.14511 × 10-8 |
|
79 |
Au |
196.967 |
100 |
|
0.18020 |
0.1802 |
2.72641 × 1015 |
1.314 |
1.12167 × 10-8 |
|
80 |
Hg |
201.971 |
29.74 |
|
0.17507 |
0.17507 |
2.72641 × 1015 |
1.314 |
1.12298 × 10-8 |
|
81 |
Tl |
204.974 |
70.48 |
|
0.17013 |
0.17013 |
2.72641 × 1015 |
1.314 |
1.12157 × 10-8 |
|
82 |
Pb |
207.976 |
52.41 |
|
0.16538 |
0.16538 |
2.72641 × 1015 |
1.314 |
1.12015 × 10-8 |
|
83 |
Bi |
208.98 |
100 |
|
0.16079 |
0.16079 |
2.72641 × 1015 |
1.314 |
1.11412 × 10-8 |
|
84 |
Po |
209.982 |
138.4d |
|
0.15633 |
0.15633 |
2.72641 × 1015 |
1.314 |
1.11210 × 10-8 |
|
85 |
At |
216.002 |
0.3ms |
|
0.15209 |
0.15209 |
2.72641 × 1015 |
1.314 |
1.11431 × 10-8 |
|
86 |
Rn |
222.017 |
3.823d |
|
0.14797 |
0.14797 |
2.72641 × 1015 |
1.314 |
1.11615 × 10-8 |
|
87 |
Fr |
225.025 |
3.9m |
|
0.14399 |
0.14399 |
2.72641 × 1015 |
1.314 |
1.11442 × 10-8 |
|
88 |
Ra |
228.031 |
5.76a |
|
0.14014 |
0.14014 |
2.72641 × 1015 |
1.314 |
1.11264 × 10-8 |
|
89 |
Ac |
229.033 |
1.04h |
0.1414 |
0.1364 |
0.1389 |
2.72641 × 1015 |
1.314 |
1.11852 × 10-8 |
|
90 |
Th |
232.038 |
99.98 |
0.1378 |
0.13282 |
0.13532 |
2.72641 × 1015 |
1.314 |
1.11698 × 10-8 |
|
91 |
Pa |
231.035 |
100 |
0.1344 |
|
0.13435 |
2.72641 × 1015 |
1.314 |
1.12156 × 10-8 |
|
92 |
U |
238.028 |
99.274 |
0.131 |
|
0.13097 |
2.72641 × 1015 |
1.314 |
1.12439 × 10-8 |
|
93 |
Np |
239.052 |
2.355d |
0.1288 |
|
0.1288 |
2.72641 × 1015 |
1.314 |
1.12539 × 10-8 |
|
94 |
Pu |
246.07 |
10.85d |
0.1246 |
|
0.12457 |
2.72641 × 1015 |
1.314 |
1.12343 × 10-8 |
|
95 |
Am |
247.071 |
22.m |
0.1215 |
|
0.1215 |
2.72641 × 1015 |
1.314 |
1.11974 × 10-8 |
|
96 |
Cm |
247.071 |
|
0.1185 |
|
0.11854 |
2.72641 × 1015 |
1.314 |
1.11508 × 10-8 |
|
97 |
Bk |
249.074 |
320d |
|
0.11566 |
0.11566 |
2.72641 × 1015 |
1.314 |
1.11243 × 10-8 |
|
98 |
Cf |
254.087 |
60.5d |
|
0.11288 |
0.11288 |
2.72641 × 1015 |
1.314 |
1.11283 × 10-8 |
|
99 |
Es |
255.09 |
40.d |
0.1111 |
|
0.11107 |
2.72641 × 1015 |
1.314 |
1.11359 × 10-8 |
|
100 |
Fm |
259.101 |
1.5s |
0.1084 |
|
0.10838 |
2.72641 × 1015 |
1.314 |
1.11263 × 10-8 |
TABLE. 6 Below table shows symbol and atomic weight (Am).
Unification of gravitation and electromagnetic force
From the following two formulas and the above discoveries,
QZ=√ /λ + Zb × (1-(Am-Z)k1) × k2; ma=√(c/)λ-Zb ×(1+k1 × Am/Z) × k2
The interactions between two units of lithium are shown below; between them, the value of their Coulomb force is among them, the value of their gravitational force is
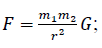
Fc=Q1 × Q2/r2 k= [√c/λ Zb × (1-(Am-Z) k1 × k2]2/r2 k=(c/λ Zb/r2 k × [1-(Am-Z)k1) × k2]2
Among them, the value of their gravitational force is
Fg=m1 × m2/r2 G=[√c/λ+Zb × (1+k1 × Am/Z) × k2]2/r2 G=(c/λ+Zb)/r2 G × [1+k1 × Am/Z) × k2]2
From the preceding validation, we can determine that the electromagnetic force and gravitational force are generated by the moving photons in the atom, and their origins are the same: (c/λ+zb/r2). The difference in the values between them is only because the Coulomb force is the first interaction force generated by this force; it does not include the gravitational force, and the gravitational force includes the effect of the Coulomb force interaction: (1-(Am-Z) k1) × k2, (1+k1 × Am/z) × k2.
Now, we have known the unification of the electromagnetic force and gravitational force [5,6]. There are only two different effects of one force.
Second portion: The universal formula in the nature
Its application in the micro world
The electric charge of the particle
We now know that moving photons do generate force, and knowledge of the unification of electromagnetic force and gravitation suggests that if a particle holds photons that are more or less than the threshold of its internal balance of force, it will attract or repel other particles; hence, the phenomenon of attracting or repelling other particles appears, showing electric characteristics, which is the essence of the electric charge of a particle. From this, we can determine the origin of the electrical charge of the particle.
Revealing the Bohr hydrogen spectrum formula
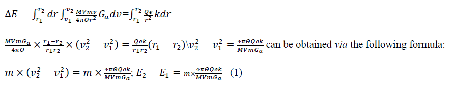
In the hydrogen atom, one electron revolves around the nucleus, between them, when the electron moves from velocity v1 to v2, and the distance between them changes from r1 to r2. In this changing process, the change in the energy of the electron is as follows:

Moreover, according to
can be calculated via the following formula:
Compare (1) yields the following formula:
namely,
and m and kλ are all constants and
is obtained. This formula explains why the Bohr formula can describe the hydrogen spectrum. From this, in generalization, the two-body system can be described by this formula. The spectrum of hydrogen and the spectrum of hydrogen-like systems include the ions He+, Li2+, Be3+, and U91+ and the spectrum of alkali metal. The hydrogen is only a specific case.
The decay of the particle
According to the above discovery that moving photons generate force, there is a force between photons and other particles. Namely, photons can interact with any other particles. One photon can be attracted or repelled by other photons or other particles. On the other hand, the magnitude of the force that moving photons create is specific. The two photons that produce the electron position pair need sufficient energy and the appearance of the particle is determined by its moving state. If one particle absorbs one photon, its internal original balance of force will change, which will lead to fusion or fission for a new balance of force. In this process, the parent particle displays a decay process. For example, neutron decay, meson decay, nuclear decay, etc., involve many photons in space and any particle can absorb photons at any time; thus, almost all the particles exhibit decay characteristics. The reason why the particles decay is the force between the photons and the particles.
Applying in the macro world
The essence of the bending of light
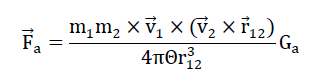
From the above, we know the origin of gravitation. Here, this finding is used to calculate the bending of light. Figure 2 shows the state of the light of the star passing near the Sun, where is the distance between the center of the Sun and the passing light. A is the actual site of the star, B is the site of the Earth and R is the radius of the Sun. According to the formula Fa =
where ms is the mass of the Sun, vs is the average speed of the moving particle in the Sun, mp is the mass of the photon, c is the speed of light and r is the distance between the center of the Sun and the passing light (Figure 2).
The gravitation of the star light accepted from the Sun changes with distance, and the accepted gravitation is greatest when the star light passes through the nearest sun. Therefore, in this special area nearest to the Sun, the distance at which light moves S plays a key role in the bending of light; at this distance, light acceptance of gravity may represent the gross gravitation that occurs along its whole travel path. Then, after light has passed through the Sun, the velocity can increase via this gravitation:
FIG. 2. This is the state of light from a star passing through the Sun, r which is the distance between the center of the Sun and the passing light. A is the actual site of the star, B is the site of the Earth, and R is the radius of the Sun.


| r' | 0 | tg0 | rtg0 |
| 1.85 | 0.95" | 4.61E-06 | 8.52E-06 |
| 4.82 | 0.37" | 1.79E-06 | 8.65E-06 |
| 7.05 | 0.26" | 1.26E-06 | 8.88E-06 |
| 8.35 | 0.21" | 1.01E-06 | 8.50E-06 |
| 8.5 | 0.215" | 1.04E-06 | 8.85E-06 |
TABLE. 7 The results of the deduced conclusions. From this test, we can find that formula
compatible with the bending of light when it passes near the Sun.
According to the formula
, three statuses of the bending of light when it passes through the Sun can be obtained. First, when
, the light beam will be absorbed by the Sun. On Earth, the light beam cannot be observed. In the second status, when
, the light beam will revolve around the Sun. On Earth, the light beam cannot be observed. The above two conditions indicate that in the special scope nearest to the Sun, we cannot see the star in the sky. Third, when
, the light beam will move forward, and the earth can see this bending of light. These three statuses are in good agreement with the phenomena that occur on Earth. Moreover, from these three statuses, we can clearly determine the extent to which the star light passes through the scope nearest to the Sun where the star light cannot reach the Earth, the reason why we cannot see a star when its light passes through the nearest Sun, and the orbit of light moving in space. With all this information, the term “general relativity” cannot be used.
The dark matter does not exist
The gravitation of the spiral galaxy rotation
The spiral galaxy is similar to the rotation of the disk. It includes two features: One is the spiral arm. The second center spherical component includes a large halo and a nuclear bulge, where the main mass of the galaxy is concentrated.
According to the formula,
For a spiral galaxy, there is a central bulge where most of the mass is concentrated and the spiral arms are spread over a disk. For a star in such a galaxy at a distance r from the galactic center moving with a circular velocity: v.When Mbody <r: where M<r is the mass enclosed within radius r. If the star is within the dense central region (or central hub) of the galaxy,
then, where ρ is the average density of the central hub. Therefore, within the central hub, one expects from

In this result, the rotation velocity of the spiral galaxy is constant when
is constant, which is in extremely good agreement with the fact that the observational measurements of rotation curves for several spiral galaxies show v to be equally constant for large r. These results indicate that Newton’s law of universal gravitation is not a natural law and that dark matter does not exist in nature.
According to the following formula
yields two results:

These observations confirmed the discoveries
According to
. in one galaxy, if
is constant and the main mass of the galaxy is concentrated in the center of the galaxy, the rotation curve of the spiral galaxy will be flat; if the period changes more greatly than the mass changes, the rotation curve of the spiral galaxy will also change. Therefore, because N4565, N4594, M31 and N891 are around the center of the galaxy rotation, similar to the standard of disk rotation, from their center to large r,
is nearly constant, and we can infer that the velocity of rotation will be constant with increasing radius. The curve rotation is flat. Among these spiral galaxies, N4565 is the most standard rotation disk; thus, its rotation curve appears to be a straight line. N5033 has a main mass in its center, begins with a standard rotation disk, and then changes this status, so its rotation curve is flat first and then decreases. The M83, N7217, M51, M81 and our galaxy are not standard rotation disks and their rotation curves are not flat. These observations are in good agreement with these conclusions [7, 8].
Newton’s law of gravitation is not a natural law
Compared with the calculated result from Newton’s law of universal gravitation, Newton’s law is not in agreement with some observations, so the hypothesis of dark matter appears. We now know that there is no dark matter in nature; in fact, Newton’s law of universal gravitation laws is based on the Kepler law. Namely, Newton’s law of universal gravitation is not the law of nature; it is only an approximation formula that is deduced by Kepler’s third law to calculate some mathematical problems. According to several observational facts, these observational rotation curves show that Newton’s law of universal gravitation does not agree with the observational facts. However, the above conclusions are in extremely good agreement with the observational data.The dark matter does not exist.
The above observations also show that the highest site (the O point in the rotation curve) of the rotation curve from the observation is greater than the highest site (the N point in the rotation curve) from the Newtonian law calculated result, which is in good agreement with the fact that the calculated speed value
from
is greater than the calculated speed value
from
thus, Newton’s law of universal gravitation is incorrect for describing the galaxy.
On the other hand, other observations, such as gravitational lensing the bending of light from distant sources by the cluster’s gravity also confirm that moving photons generate gravitation but are not due to dark matter.
Demonstrate Kepler third laws
When the Sun and Planet are all moving forward, they are all revolving around the center of mass movement. In this condition, the Sun and all Planets are all around their center of mass moving forward in the infinity universe, which is the same as when they are all moving in one space, so here, the characteristics of the medium ?? are not considered; thus:

in the Sun system can be obtained because the MVkGa are all constant, so v2 a=constant, this is the Kepler third law. Here, the value of M is not equal to the known mass of the Sun.
Newtonian law of universal gravitation
To demonstrate the Newtonian law of universal gravitation, see article Gravitation origin [1]; here, we do not need to repeat it.
The universe does not inflation!
The Doppler effect in light
In light, according to the above discovery, we now know that light is not a wave-particle duality; rather, it is a particle. According to the following formula, λv=kλ we can obtain the following formula: λ=kλ/v, where the wavelength is the reciprocal of the speed. For an observer, some photons move toward left observer A, while some photons move toward right observer B; therefore, in observer A’s eye, the wavelength of the photon is kλ/v-v0, where v is the speed of light and v0 is the speed of the atom. In this case, the wavelength is increased, which is a redshift. The wavelength of the photon toward observer B is kλ/(v+v0); in this case, the wavelength is decreased, and this is a blue shift. Namely, the frequency of photons decreases when moving toward left observer A, and the frequency of photons increases when moving toward observer B. This is the reason for the redshift and blue shift. However, the status of atomic movement, which emits light, did not change.
The universe does not inflation
Doppler effect in astronomy (Figure 3).
FIG. 3. This figure shows the essence of the Doppler effect.
According to the above analysis, because some stars depart from the Earth, the wavelength that the Earth receives is kλ/v-v0, where v is the speed of light, v0 is the speed of the star, and for some stars arriving at the Earth, the wavelength at which the Earth receives is kλ/v+v0; thus, we can observe the redshift of the light of some stars and the blue-shift of some stars. Why we observe the light from a farther star, its more redshift than near a star sent, I think this is similar to the movement of a bullet, because in the moving process, the greater the distance moved is, the more energy is lost, so the lower the speed of the movement is. This is the reason why the greater the distance between the earth and the star is, the greater the redshift. The greater the distance between the earth and the star is, the greater the distance needed to move for light, so the speed will decrease more than when the earth stars are nearer. In fact, in this state, only the wavelength of light will change as the distance between the earth and the star changes, but the state of the moving star does not change as it does for observers A and B (see the state of the moving car) and the space also does not change. Thus, the universe is not inflation [9].
In Figure 3, if the speed of the car is v0, the speed of sound of the car is v; when the car is moving toward right observer B, for observer A, the speed of the message is v-v0, where v0 is the speed of the car and v is the speed of sound. For observer B, the speed of the message is v+v0, so observer A receives less sound than does the car. Observer B receives more sound than does the car. In fact, the frequency of sound sent by the car does not change, and only the frequency at which the observer receives sound changes. This is the essence of the Doppler effect.
Conclusion
We know the essence of electric charge and the essence of gravitational mass in atoms; moreover, we have known the unification of gravitation and electromagnetic force by applying this new discovery from the micro world to the macro world and about the greater content and the greater evidence of unification of the electromagnetic force and gravitational force; please see the next article.
Acknowledgments
I express my sincere appreciation to Yang Zhenfeng, who is at the Institute of Mathematics, and my friends Shao Shengtang, Jiu Guoqiang, Wang Xieheng, Xi Xinghua, Dong Qianlin and my middle school teacher Zhang Linxiang. My young uncle sister Gou susheng. My young brother, Zheng Guoman, My young sister, Zhnegjunfang. They all gave me a lot of spiritual and financial support when I did the research about this paper. I also express my gratitude for my father Zheng Heizi, who gave me great love and that is the driving force of my moving forward.
References
- Shengming Z. The origin of grativation. TechRxiv. (2021).
[Crossref]
- Zschornack GH. Handbook of X-ray Data. Springer Science and Business Media, 2007.
- Ming ZS. The origin of grativation. TechRxiv, 2023.
[Crossref]
- Ming ZS. Unification of gravitation and electromagnetic force (First portion). TechRxiv. 2021.
- Haynes WM. CRC handbook of chemistry and physics. CRC press, 2016.
- Kutner ML. Astronomy: A physical perspective. Cambridge University Press, 2003.
- Karttunen H, Kröger P, Oja H, Poutanen M, Donner KJ. Fundamental astronomy. Berlin, Heidelberg: Springer Berlin Heidelberg, 2007.
- Livio M. The dark universe: matter, energy and gravity. Cambridge University Press, 2004.
- Kittel C. Introduction to solid state physics-Wiley, 2005.





